The regulating effect of magnetic field on magnetogasdynamic flow and heat transfer characteristics in circular tubes has important applications in many fields, but there is still a lack of relevant basic research. Considering the conductivity of the tube wall and the insufficient development of turbulence, the physical model and mathematical model of magnetogasdynamic flow in a circular tube under a given transverse magnetic field are constructed, and the numerical algorithm is designed within a theoretical framework of the finite volume method. The effect of factors including Hartman number (
Ha) and wall conductivity ratio (
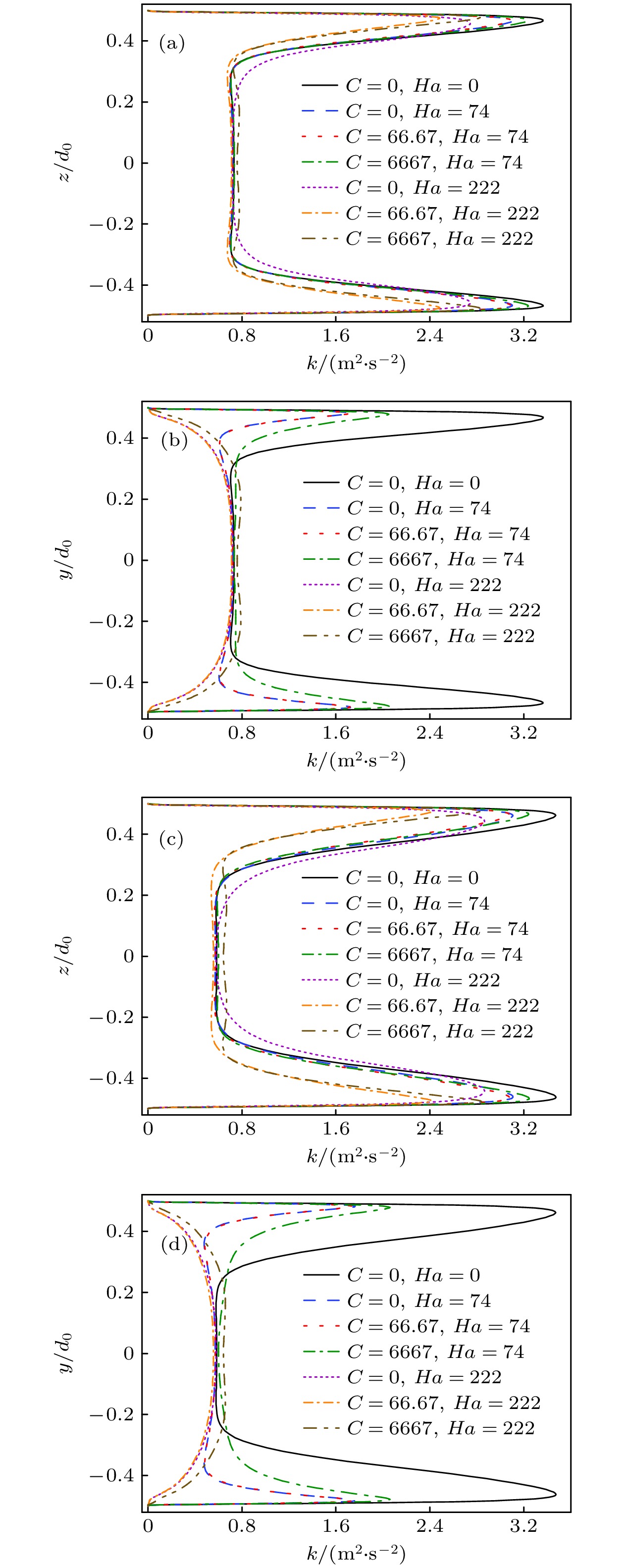
C) on the flow and heat transfer characteristics are obtained through analyzing the distributions of velocity, turbulent kinetic energy, and temperature. Furthermore, the regulation mechanism of the transverse magnetic field is discussed by analyzing the spatial distribution of induced current, electromagnetic force and Joule heat. The results show that the distribution of velocity and the distribution of turbulent kinetic energy in the circular tube under a given transverse magnetic field are both anisotropic. The turbulent kinetic energy near the Hartmann boundary layer is much lower than that near the Roberts boundary layer, and the anisotropic distribution of velocity and turbulent kinetic energy become more and more evident with the increase of
Haand the extension of the flow. The transverse magnetic field has a suppression effect on the heat transfer in the tube. For different values of
C, the average Nusselt number (
$ \overline {Nu} $
) shows a first-decreasing-and-then-increasing trend with
Haincreasing, that is, there is a “saturation effect” in heat transfer suppression. When the wall conductivity is small (
C
$\leqslant $
0.67), the change of
$ \overline {Nu} $
under the condition of conductive wall is basically consistent with that of an insulating wall. However, when
Cexceeds a certain value (
C
$\geqslant $
66.67), the
$ \overline {Nu} $
under the condition of small
Haincreases in comparison with that of the insulating wall, while the
$ \overline {Nu} $
decreases under the condition of large
Ha. The change of flow characteristics in the circular tube results from the variation of electromagnetic force under the coupling of magnetic field and fluid, while the change of heat transfer characteristics originates from the coupling effect of the suppression of turbulence and the Joule heating. When
Hais small, the suppression effect of the magnetic field on turbulence is dominant, and the
$ \overline {Nu} $
decreases with the increase of
Ha. When
Haexceeds a certain value (
Ha
$\geqslant $
222), the large accumulation of Joule heat in the circular tube enhances the heat transfer, resulting in the increase of the
$ \overline {Nu} $
with the continuous increase of
Ha.