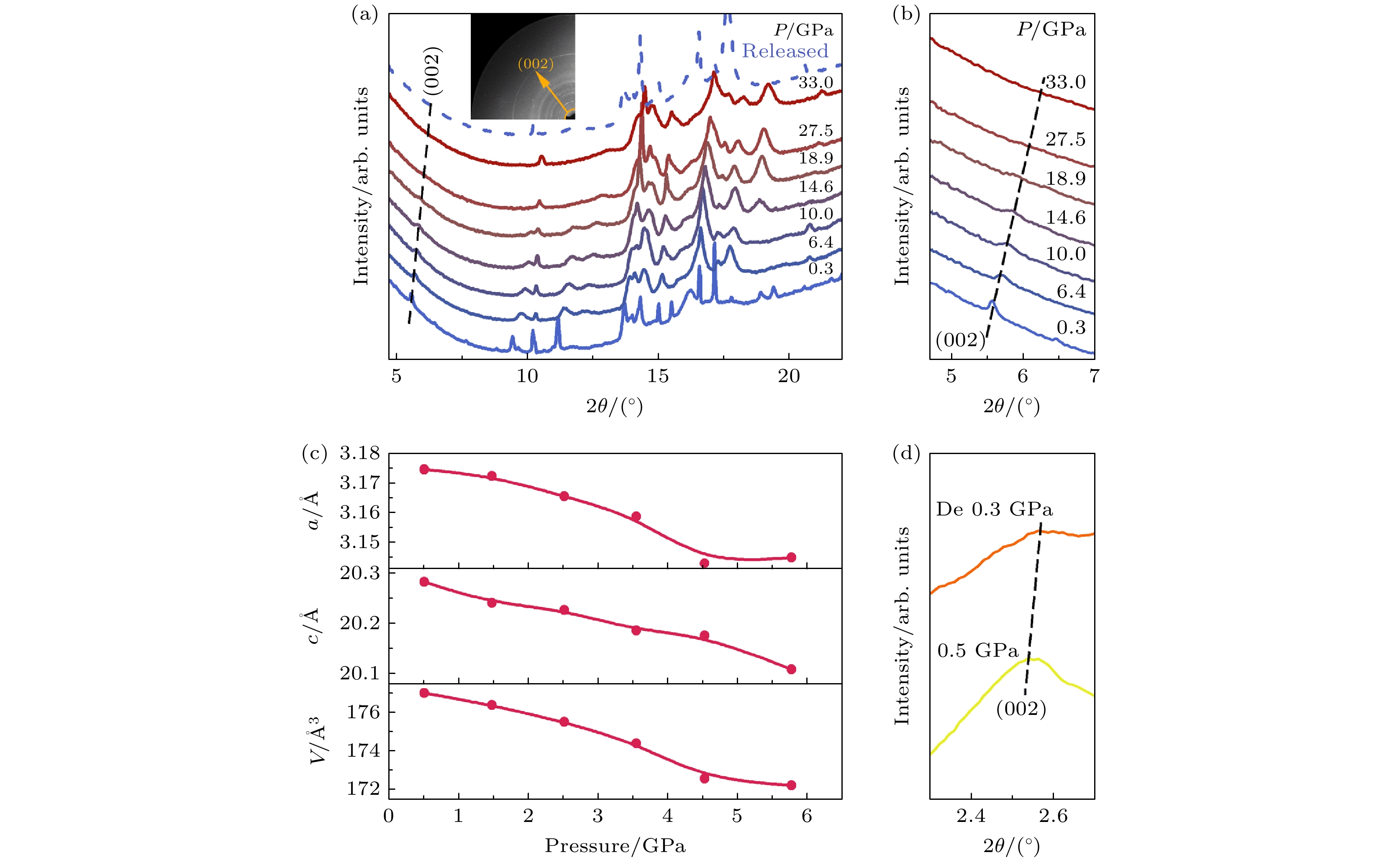
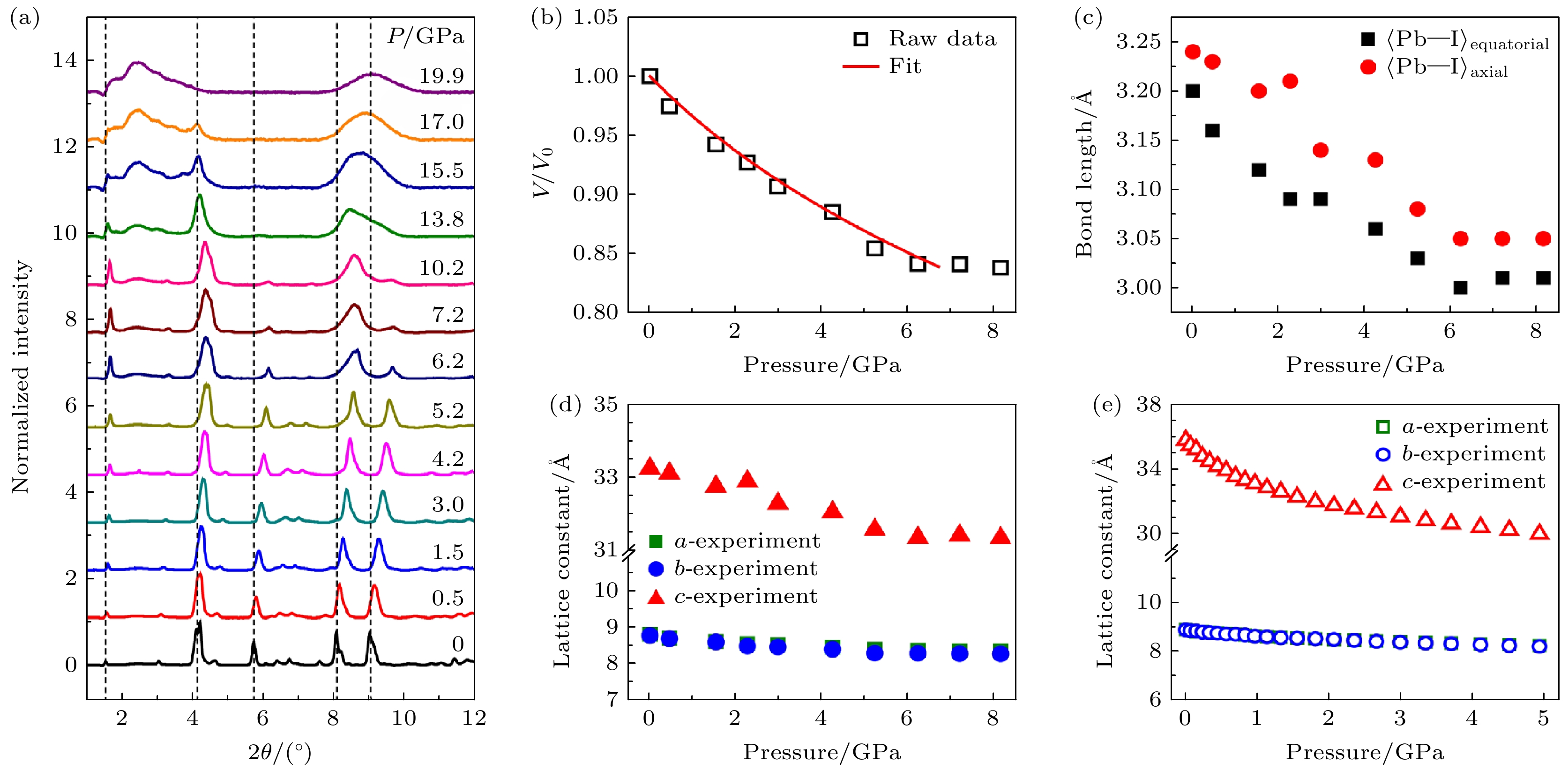
Two-dimensional (2D) materials, due to their outstanding photoelectric properties, have demonstrated significant potential in both fundamental scientific research and future technological applications, including optoelectronics, energy storage, and conversion devices, establishing them as a cutting-edge research field in condensed matter physics and materials science. The distinctive layered structure of 2D materials renders their physical properties highly sensitive to external stimuli. High-pressure technology, serving as an efficient, continuous, and clean tuning tool, enables precise structural control and optimization of the photoelectric properties of 2D materials by compressing atomic distances, strengthening interlayer coupling, and even inducing structural phase transitions. This article focuses on prototypical two-dimensional materials, including graphene, transition metal dichalcogenides (TMDs), and two-dimensional metal halide perovskites. Employing the diamond anvil cell combined with multimodal in situ high-pressure characterization techniques such as X-ray diffraction, Raman spectroscopy, photoluminescence, and electrical transport measurements, we systematically elucidate the effects of high pressure on the structural and photoelectric properties of these materials. The key findings indicate that high pressure can induce the graphene to transition from a semimetal state to a semiconducting state, even a superconducting state, triggering off structural phase transitions and semiconductor-to-metal transitions in TMDs such as MoS2 and WTe2, and leading to a pressure-dependent bandgap narrowing and significant enhancement of luminescence intensity in two-dimensional perovskites. This work highlights the utility of high-pressure techniques in revealing the intrinsic correlations between the microstructure and macroscopic properties of two-dimensional materials. Furthermore, it discusses the key challenges and opportunities in this emerging research area, providing insights into the development and practical application of novel functional materials.