2025 Vol. 74, No. 13
column
- SPECIAL TOPIC—Order tuning in disordered alloys
- DATA PAPERS
- RAPID COMMUNICATION
- REVIEW
- GENERAL
- NUCLEAR PHYSICS
- ATOMIC AND MOLECULAR PHYSICS
- ELECTROMAGNETISM, OPTICS, ACOUSTICS, HEAT TRANSFER, CLASSICAL MECHANICS, AND FLUID DYNAMICS
- PHYSICS OF GASES, PLASMAS, AND ELECTRIC DISCHARGES
- CONDENSED MATTER: STRUCTURAL, MECHANICAL, AND THERMAL PROPERTIES
- CONDENSED MATTER: ELECTRONIC STRUCTURE, ELECTRICAL, MAGNETIC, AND OPTICAL PROPERTIES
- INTERDISCIPLINARY PHYSICS AND RELATED AREAS OF SCIENCE AND TECHNOLOGY
- COVER ARTICLE
Display Method:
2025, 74(13): 136101.
doi: 10.7498/aps.74.20250585
Abstract:
The rapid advancement of modern electronics, telecommunications, and artificial intelligence has driven an urgent demand for high-performance soft magnetic materials, particularly those compatible with third-generation semiconductors. These semiconductors, characterized by wide bandgaps, high breakdown fields, and superior thermal conductivity, enable power devices to operate at higher frequencies (> 1 MHz) and power densities. However, traditional soft magnetic materials, such as silicon steels and ferrites, face inherent trade-offs between critical properties: saturation magnetization (Bs) versus coercivity (Hc), permeability versus core loss, and mechanical strength versus magnetic “softness”. These limitations hinder their applications in emerging high-frequency high-efficiency scenarios. Amorphous soft magnetic materials, with their unique hierarchical ordered structures ranging from atomic scale to nano scale, offer a revolutionary platform to overcome these trade-offs. These materials exhibit rich physical properties governed by short-range order (SRO, < 0.5 nm), medium-range order (MRO, 0.5–2.0 nm), and amorphous-nanocrystalline dual-phase architectures. The concept of order modulation strategically tailoring the intrinsic characteristics (e.g., cluster density, topological configuration) and spatial arrangements of these ordered structures has emerged as a transformative approach to decoupling conflicting material properties. This review systematically examines the following key aspects: 1) Historical evolution of soft magnetic materials The development of soft magnetic materials has kept pace with advances in power electronics technology, from early silicon steels and ferrites to modern amorphous and nanocrystalline alloys. The advent of Fe-based amorphous alloys and finemet-type nanocrystalline alloys marks milestones in achieving high Bs (>1.6 T), ultra-low Hc (< 1 A/m), and reduces core losses at high frequencies. However, performance bottlenecks still exist near theoretical limits, and require innovative strategies. 2) Theoretical foundations of order modulation Order parameter theory: Landau’s phase transition theory and synergetics elucidate how magnetic order parameters govern macroscopic properties. In amorphous alloys, magnetic interactions are dominated by SRO clusters and their MRO arrangements. Magnetism-structure relationships: advanced techniques, such as atomic electron tomography (AET) and synchrotron pair distribution function (PDF) analysis, reveal that SRO/MRO structures directly influence exchange coupling, magnetic anisotropy, and domain wall dynamics. For instance, Fe-M (M = Si, B) clusters with dense packing enhance Bs, while MRO homogenization reduces Hc. 3) Advances in order-modulated amorphous soft magnetic materials Atomic-scale modulation: elemental doping (e.g., Co, Mo, Cu) and energy-field treatments (e.g., magnetic annealing and ultrasonic vibration) optimize local atomic configurations. For example, ultrasonic processing of Fe78Si9B13 ribbons induces stress relaxation, forming 2–3 nm Fe-M clusters that increase Bs to 183.2 emu/g while maintaining Hc at 4.2 A/m. Nanoscale dual-phase design: controlled crystallization of α-Fe(Si) nanocrystals (<15 nm) within an amorphous matrix creates exchange-coupled nanocomposites. Co-Mo co-doping in FeSiBCuNb alloys refines grain size to 11.8 nm, achieving a permeability of 65000 H/m at 100 kHz–44% higher than traditional finemet alloys. Interface engineering in soft magnetic composites (SMCs): core-shell architectures (e.g., FeSiB@FeB nanoparticles) with stress-buffering interfaces reduce eddy current losses while preserving permeability. Cold sintering of vortex-domain FeSiAl powders enables GHz-range operation with stable permeability (μi = 13 at 1 GHz). 4) Future directions and challenges Machine learning-driven design: integrating high-throughput simulations with AI models (e.g., XGBoost, random forests) accelerates the discovery of optimal compositions and order parameters. Recent work predicts Bs by using Fe content, mixing enthalpy, and electronegativity differences, guiding the synthesis of (Fe82Co18)85.5Ni1.5B9P3C1 alloys with Bs = 1.92 T. The new magnetic topology structure: the magnetic vortex structures and skyrmion-like configurations in ultrafine powders show the prospect of ultra-high-frequency applications (>100 MHz). Low-stress manufacturing: innovations such as ultrasonic rheoforming reduce compaction pressures by 99% (to 6.2 MPa), alleviating residual stress and improving SMC performance. In situ characterization: neutron scattering and grating-based imaging techniques enable real-time observation of domain dynamics under operational conditions (e.g., stress, magnetic fields). In conclusion, ordered modulation represents a paradigm shift in the design of soft magnetic material, linking atomic-scale interactions with macroscopic performance. By using multi-scale ordered structures and advanced manufacturing technologies, the next-generation amorphous-based materials are expected to revolutionize high-frequency power electronics, electric vehicles, and AI-driven systems. However, challenges in scalable production, cost-effective processing, and standardized evaluation must be addressed to accelerate industrial adoption.
2025, 74(13): 136401.
doi: 10.7498/aps.74.20250392
Abstract:
This study aims to establish the intrinsic link between the high-temperature rheological behavior and kinetic relaxation characteristics of La-based metallic glasses. By conducting dynamic mechanical analysis and high-temperature tensile strain-rate jump experiments on three La-based metallic glasses with significant β relaxation, and combining the findings within the free volume theory framework, their high-temperature rheological properties are investigated systematically. The results show that the steady-state flow stress and activation volume evolution trend are consistent within the normalized temperature range. The average activation energy for high-temperature rheology aligns with the activation energy range of α relaxation, confirming the strong association between rheological behavior and α relaxation. The activation energy for β relaxation shows an opposite trend, indicating that it may precede α relaxation. A dynamic competition between defect annihilation and generation governs the rheological behavior, and kinetic parameters reveal the temperature and strain-rate sensitivity of metallic glasses. This study lays a theoretical foundation for optimizing the high-temperature mechanical properties of La-based metallic glasses and also provides new insights into understanding the coupling relationship between multi-scale relaxation behavior and rheological mechanisms in metallic glasses.
This study aims to establish the intrinsic link between the high-temperature rheological behavior and kinetic relaxation characteristics of La-based metallic glasses. By conducting dynamic mechanical analysis and high-temperature tensile strain-rate jump experiments on three La-based metallic glasses with significant β relaxation, and combining the findings within the free volume theory framework, their high-temperature rheological properties are investigated systematically. The results show that the steady-state flow stress and activation volume evolution trend are consistent within the normalized temperature range. The average activation energy for high-temperature rheology aligns with the activation energy range of α relaxation, confirming the strong association between rheological behavior and α relaxation. The activation energy for β relaxation shows an opposite trend, indicating that it may precede α relaxation. A dynamic competition between defect annihilation and generation governs the rheological behavior, and kinetic parameters reveal the temperature and strain-rate sensitivity of metallic glasses. This study lays a theoretical foundation for optimizing the high-temperature mechanical properties of La-based metallic glasses and also provides new insights into understanding the coupling relationship between multi-scale relaxation behavior and rheological mechanisms in metallic glasses.
2025, 74(13): 138102.
doi: 10.7498/aps.74.20250518
Abstract:
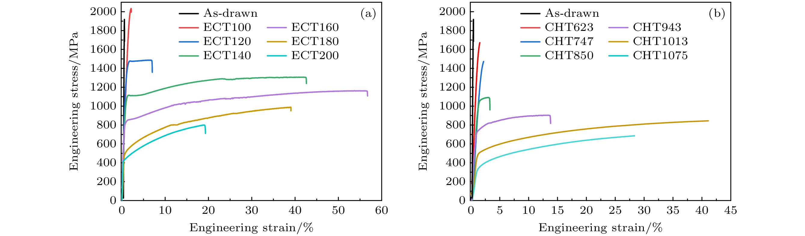
High-entropy alloy (HEA) microfibers exhibit promising prospects in microscale high-tech applications due to their exceptional mechanical properties and stability. However, the strength-plasticity tradeoff largely hinders their further industrial applications. Heat treatment can optimize the mechanical properties of HEA microfibers. However, the traditional heat treatment (CHT) faces challenges in accurately adjusting the microstructures in a short period of time, while also being prone to grain coarsening, which can affect performance. In this study, an electric current treatment (ECT) technique is used to finely modulate the properties of cold-drawn CoCrFeNi high-entropy alloy microfibers on a microscale (~70 μm in diameter), the effects of thermal and athermal effects during ECT on microstructure and mechanical properties are systematically investigated through electron back scatter diffraction, transmission electron microscopy, and synchrotron radiation. A model of recrystallization, nucleation and growth of HEA microfibers is established. Compared with CHT, the synergistic effects of electron wind force and Joule heating during ECT significantly accelerate recrystallization kinetics, yielding finer and more homogeneous grains with a great decrease in dislocation density, and finally lead to better mechanical properties. The ECT-processed HEA microfibers achieve a yield strength in a range from 400 to 2033 MPa and a tensile elongation reaching 53%, which are much higher than those of CHT samples. These results demonstrate that the ECT is effective for optimizing the microstructure and properties of HEA microfibers, and can also provide both a theoretical foundation and technical guidance for fabricating high-performance metallic microfibers.
High-entropy alloy (HEA) microfibers exhibit promising prospects in microscale high-tech applications due to their exceptional mechanical properties and stability. However, the strength-plasticity tradeoff largely hinders their further industrial applications. Heat treatment can optimize the mechanical properties of HEA microfibers. However, the traditional heat treatment (CHT) faces challenges in accurately adjusting the microstructures in a short period of time, while also being prone to grain coarsening, which can affect performance. In this study, an electric current treatment (ECT) technique is used to finely modulate the properties of cold-drawn CoCrFeNi high-entropy alloy microfibers on a microscale (~70 μm in diameter), the effects of thermal and athermal effects during ECT on microstructure and mechanical properties are systematically investigated through electron back scatter diffraction, transmission electron microscopy, and synchrotron radiation. A model of recrystallization, nucleation and growth of HEA microfibers is established. Compared with CHT, the synergistic effects of electron wind force and Joule heating during ECT significantly accelerate recrystallization kinetics, yielding finer and more homogeneous grains with a great decrease in dislocation density, and finally lead to better mechanical properties. The ECT-processed HEA microfibers achieve a yield strength in a range from 400 to 2033 MPa and a tensile elongation reaching 53%, which are much higher than those of CHT samples. These results demonstrate that the ECT is effective for optimizing the microstructure and properties of HEA microfibers, and can also provide both a theoretical foundation and technical guidance for fabricating high-performance metallic microfibers.
2025, 74(13): 137101.
doi: 10.7498/aps.74.20250264
Abstract:
In recent years, the design and development of new high-performance alloys based on first principles have received extensive attention. However, there are few reports on the structural design and thermodynamic properties of Cu-Zr alloys at nanoscale. In this work, based on the crystal structure characteristics of CuZr2, 12 kinds of Cr-doped CuZr2 structures are designed and optimized by the method of Cr atom doping through the first-principle calculation based on the density functional theory, and 6 kinds of mechanically and dynamically stable doped structure models are found. By calculating the electronic structure, elastic properties and hardness of the CuZr2 and its dynamically stable Cr-doped structure, it is found that the studied objects have all energy bands that pass through the Fermi energy level and are metallic. The main contributors to the metallic properties of the CuZr2 are the p and d orbital electrons of Zr, while the main contributors to the metallic properties of the 6 dynamically stable Cr-doped CuZr2 structures are the p and d orbital electrons of Cr and Zr. Meanwhile, CuZr2 has symmetrically distributed spin electrons, which do not show magnetism externally. However, the doping of Cr atoms increases the elemental species of the matrix. In addition to the difference of spin electrons brought by the d-orbital electrons of Cr atoms, the doped Cr atoms destroy the symmetrical distribution of electrons with different spin directions in the p- and d-orbitals of Zr atoms in the matrix, so that the designed 6 dynamically stable Cr-doped CuZr2 structures exhibit ferromagnetic properties with magnetic moments ranging from 0.303μB to 5.243μB. In addition, it is found that Cr atoms can improve the mechanical properties of CuZr2. When the Cr atom is used to replace the Zr atom in the matrix, the elastic modulus and hardness of the material can be improved, and when the Cr atom is used to replace the Cu atom in the matrix, the machining properties of the material can be improved due to the reduction of hardness. The datasets presented in this work, including the band structure, density of states, and phonon dispersion frequency, are available fromhttps://www.doi.org/10.57760/sciencedb.j00213.00122 .
In recent years, the design and development of new high-performance alloys based on first principles have received extensive attention. However, there are few reports on the structural design and thermodynamic properties of Cu-Zr alloys at nanoscale. In this work, based on the crystal structure characteristics of CuZr2, 12 kinds of Cr-doped CuZr2 structures are designed and optimized by the method of Cr atom doping through the first-principle calculation based on the density functional theory, and 6 kinds of mechanically and dynamically stable doped structure models are found. By calculating the electronic structure, elastic properties and hardness of the CuZr2 and its dynamically stable Cr-doped structure, it is found that the studied objects have all energy bands that pass through the Fermi energy level and are metallic. The main contributors to the metallic properties of the CuZr2 are the p and d orbital electrons of Zr, while the main contributors to the metallic properties of the 6 dynamically stable Cr-doped CuZr2 structures are the p and d orbital electrons of Cr and Zr. Meanwhile, CuZr2 has symmetrically distributed spin electrons, which do not show magnetism externally. However, the doping of Cr atoms increases the elemental species of the matrix. In addition to the difference of spin electrons brought by the d-orbital electrons of Cr atoms, the doped Cr atoms destroy the symmetrical distribution of electrons with different spin directions in the p- and d-orbitals of Zr atoms in the matrix, so that the designed 6 dynamically stable Cr-doped CuZr2 structures exhibit ferromagnetic properties with magnetic moments ranging from 0.303μB to 5.243μB. In addition, it is found that Cr atoms can improve the mechanical properties of CuZr2. When the Cr atom is used to replace the Zr atom in the matrix, the elastic modulus and hardness of the material can be improved, and when the Cr atom is used to replace the Cu atom in the matrix, the machining properties of the material can be improved due to the reduction of hardness. The datasets presented in this work, including the band structure, density of states, and phonon dispersion frequency, are available from
2025, 74(13): 133202.
doi: 10.7498/aps.74.20250617
Abstract:
We numerically solved the time-dependent Schrödinger equation (TDSE) for a hydrogen atom interacting with intense near-infrared laser fields to investigate the mechanism of below-threshold high-harmonic generation (HHG). The primary focus was on understanding the spectral features, particularly resonant structures, arising in the fifth harmonic region under specific driving conditions. Our simulations utilized a laser wavelength of 608 nm. At this wavelength, hydrogen atoms can resonantly absorb five photons, promoting electrons from the ground stateWe numerically solved the time-dependent Schrödinger equation (TDSE) for a hydrogen atom interacting with intense near-infrared laser fields to investigate the mechanism of below-threshold high-harmonic generation (HHG). The primary focus was on understanding the spectral features, particularly resonant structures, arising in the fifth harmonic region under specific driving conditions. Our simulations utilized a laser wavelength of 608 nm. At this wavelength, hydrogen atoms can resonantly absorb five photons, promoting electrons from the ground state\begin{document}$\left|1{\mathrm{s}}\right\rangle$\end{document} to the excited state \begin{document}$\left|2{\mathrm{p}}\right\rangle$\end{document} . Concurrently, the atom can absorb additional photons leading to ionization. Crucially, due to the AC Stark shift induced by the intense laser field (laser dressing), some laser-dressed continuum states \begin{document}$\left|{\mathrm{c}}\right\rangle$\end{document} become energetically degenerate with the laser-dressed \begin{document}$\left|2{\mathrm{p}}\right\rangle$\end{document} state. High-harmonic radiation at the fifth harmonic frequency can then be emitted via two distinct quantum paths: 1) Bound-bound recombination: Direct recombination from the laser-dressed \begin{document}$\left|2{\mathrm{p}}\right\rangle$\end{document} state back to the ground state \begin{document}$\left|1{\mathrm{s}}\right\rangle$\end{document} . 2) Continuum-bound recombination: recombination from the laser-dressed continuum states \begin{document}$\left|{\mathrm{c}}\right\rangle$\end{document} (reached via ionization) back to \begin{document}$\left|1{\mathrm{s}}\right\rangle$\end{document} . Both pathways emit photons of identical energy corresponding to the fifth harmonic. Our important finding is that there is significant quantum interference between these two recombination channels. This interference is manifested in the spectrum as an asymmetric Fano lineshape of the fifth harmonic intensity profile. Furthermore, we demonstrate that the shape of this Fano resonance exhibits strong and controllable dependence on the intensity of the driving laser field. This study provides clear evidence that Fano quantum interference, typically associated with multi-electron correlations or autoionizing states in complex systems, can emerge in the fundamental single-electron hydrogen atom system under the condition of intense laser field. The interference arises directly from the coherent superposition of the bound-bound and continuum-bound recombination pathways caused by laser-induced degeneracy. Importantly, by adjusting the laser intensity the spectral profile of the Fano resonance can be actively manipulated, providing a novel method for coherently controlling the harmonic emission in simple atomic systems.
We numerically solved the time-dependent Schrödinger equation (TDSE) for a hydrogen atom interacting with intense near-infrared laser fields to investigate the mechanism of below-threshold high-harmonic generation (HHG). The primary focus was on understanding the spectral features, particularly resonant structures, arising in the fifth harmonic region under specific driving conditions. Our simulations utilized a laser wavelength of 608 nm. At this wavelength, hydrogen atoms can resonantly absorb five photons, promoting electrons from the ground stateWe numerically solved the time-dependent Schrödinger equation (TDSE) for a hydrogen atom interacting with intense near-infrared laser fields to investigate the mechanism of below-threshold high-harmonic generation (HHG). The primary focus was on understanding the spectral features, particularly resonant structures, arising in the fifth harmonic region under specific driving conditions. Our simulations utilized a laser wavelength of 608 nm. At this wavelength, hydrogen atoms can resonantly absorb five photons, promoting electrons from the ground state
2025, 74(13): 136103.
doi: 10.7498/aps.74.20250273
Abstract:
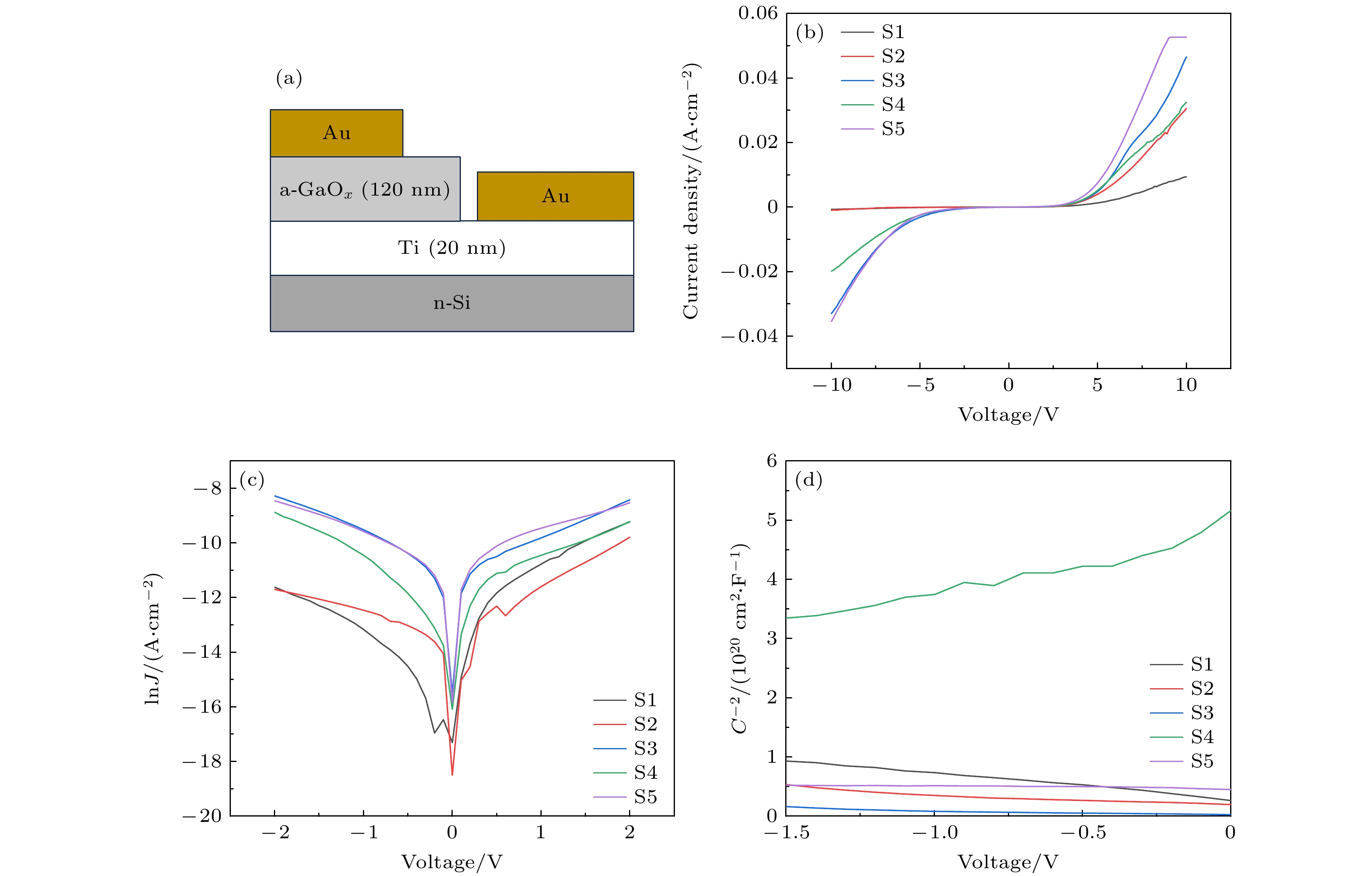
In extreme radiation environments, such as space nuclear reactor systems, deep-space probe power modules, and launch vehicle propulsion systems, high-voltage and high-power devices demonstrate significant practical value. Silicon carbide (SiC) metal-oxide-semiconductor field-effect transistors (MOSFETs) possess advantages including high breakdown voltage, thermal stability, and low on-state resistance, enabling further improvements in aerospace power supply efficiency. Therefore, research on radiation effects and radiation-hardening techniques for SiC power MOSFETs has rapidly emerged as a critical focus in the industry. Firstly, this paper reviews the developmental evolution of SiC power MOSFETs, analyzes the necessity of transitioning from planar gate to trench-gate architectures, and provides future prospects for advanced SiC power MOSFET technologies. Secondly, it systematically compiles current research achievements in single event burnout (SEB) and single event gate rupture (SEGR) caused by heavy ion irradiation in SiC power MOSFETs. Finally, based on a mechanistic analysis of radiation-induced single event damage in SiC power MOSFETs, this study summarizes recent progress of radiation-hardening technologies, aiming to provide valuable ideas for understanding radiation induced failure mechanisms and enhancing the radiation tolerance of SiC power MOSFETs.
In extreme radiation environments, such as space nuclear reactor systems, deep-space probe power modules, and launch vehicle propulsion systems, high-voltage and high-power devices demonstrate significant practical value. Silicon carbide (SiC) metal-oxide-semiconductor field-effect transistors (MOSFETs) possess advantages including high breakdown voltage, thermal stability, and low on-state resistance, enabling further improvements in aerospace power supply efficiency. Therefore, research on radiation effects and radiation-hardening techniques for SiC power MOSFETs has rapidly emerged as a critical focus in the industry. Firstly, this paper reviews the developmental evolution of SiC power MOSFETs, analyzes the necessity of transitioning from planar gate to trench-gate architectures, and provides future prospects for advanced SiC power MOSFET technologies. Secondly, it systematically compiles current research achievements in single event burnout (SEB) and single event gate rupture (SEGR) caused by heavy ion irradiation in SiC power MOSFETs. Finally, based on a mechanistic analysis of radiation-induced single event damage in SiC power MOSFETs, this study summarizes recent progress of radiation-hardening technologies, aiming to provide valuable ideas for understanding radiation induced failure mechanisms and enhancing the radiation tolerance of SiC power MOSFETs.
2025, 74(13): 137102.
doi: 10.7498/aps.74.20250431
Abstract:
Rare-earth elements possess unique atomic structures characterized by multiple unpaired 4f orbital electrons in inner shells, high atomic magnetic moments, and strong spin-orbit coupling. These attributes endow them with rich electronic energy levels, enabling them to form compounds with different valence states and coordination environments. Consequently, rare-earth materials typically exhibit excellent magnetic properties and complex magnetic domain structures, making them critical for the development of high-tech industries. The intricate magnetic configurations, different types of magnetic coupling, and direct/indirect magnetic exchange interactions in these materials not only facilitate the development of novel functional devices but also pose significant challenges to fundamental research. With the rapid advancement of data mining techniques, the emergence of big data and artificial intelligence provides researchers with a new method to efficiently analyze vast experimental and computational datasets, thereby accelerating the exploration and development of rare-earth magnetic materials. This work focuses on rare-earth permanent magnetic materials, rare-earth magnetocaloric materials, and rare-earth magnetostrictive materials, detailing the application progress of data mining techniques in property prediction, composition and process optimization, and microstructural analysis. This work also delves into the current challenges and future trends, aiming to provide a theoretical foundation for deepening the integration of data mining technologies with rare-earth magnetic material research.
Rare-earth elements possess unique atomic structures characterized by multiple unpaired 4f orbital electrons in inner shells, high atomic magnetic moments, and strong spin-orbit coupling. These attributes endow them with rich electronic energy levels, enabling them to form compounds with different valence states and coordination environments. Consequently, rare-earth materials typically exhibit excellent magnetic properties and complex magnetic domain structures, making them critical for the development of high-tech industries. The intricate magnetic configurations, different types of magnetic coupling, and direct/indirect magnetic exchange interactions in these materials not only facilitate the development of novel functional devices but also pose significant challenges to fundamental research. With the rapid advancement of data mining techniques, the emergence of big data and artificial intelligence provides researchers with a new method to efficiently analyze vast experimental and computational datasets, thereby accelerating the exploration and development of rare-earth magnetic materials. This work focuses on rare-earth permanent magnetic materials, rare-earth magnetocaloric materials, and rare-earth magnetostrictive materials, detailing the application progress of data mining techniques in property prediction, composition and process optimization, and microstructural analysis. This work also delves into the current challenges and future trends, aiming to provide a theoretical foundation for deepening the integration of data mining technologies with rare-earth magnetic material research.
2025, 74(13): 130201.
doi: 10.7498/aps.74.20250362
Abstract:
This study aims to predict the thermodynamic stability of rare-earth compounds by using machine learning (ML) models, providing crucial data support for designing advanced materials and facilitating the discovery of new rare-earth compounds. In terms of methods, this study is based on a dataset consisting of 280569 compounds. The formation energies of these compounds are calculated by density functional theory (DFT). A system consisting of 145 feature descriptors is constructed, covering stoichiometric properties, statistical properties of elements, electronic structure properties, and properties of ionic compounds, comprehensively describing the characteristics of rare-earth compounds. Two ML models, i.e. random forest (RF) and neural network (NN), are selected to perform classification and regression tasks respectively. The 5-fold cross-validation is used to improve the reliability of the models. The min-max scaling technique is used for preprocessing data, and an ensemble learning architecture is constructed to address the limitations of single model. In the classification task, the RF and NN algorithms perform remarkably well. With 5-fold cross-validation, the accuracy reaches approximately 0.97, and the F1 score is around 0.98, enabling the precise classification of compounds into stable or unstable categories. In the regression task, the mean absolute errors (MAEs) of the formation energy predictions by the RF and NN models are 0.055 eV/atom and 0.071 eV/atom, respectively. This indicates that the model predictions are highly accurate and can replace complete DFT calculations to a certain extent. In the predictive analysis of system outside the test set, six representative components are selected from the material project database, covering binary, ternary, and quaternary systems. The prediction errors of all compositions are controlled within 0.5 eV/atom, with an error percentage of lower than 25%, indicating that the model has strong ability of extrapolation and prediction. When predicting the binary phase diagrams of rare-earth compounds La-Al and Ce-H by using the trained models, the convex hull phase diagrams constructed through the ensemble learning architecture, which combines the prediction results of the RF and NN models, are highly consistent with those constructed from the open quantum materials database. The models successfully capture several metastable phases that are not present in multiple databases. Moreover, the convex hull distances of the predicted phases are mostly less than 0.1 eV/atom, with the maximum not exceeding 0.2 eV/atom. In conclusion, this study successfully uses ML models to predict the thermodynamic stability of rare-earth compounds. The constructed models demonstrate strong capabilities in classification and regression tasks. The ensemble learning architecture effectively improves the model performance, providing a promising tool for discovering materials in the field of rare-earth science, contributing to the research and development of new rare-earth compounds, and designing advanced materials.
2025, 74(13): 130301.
doi: 10.7498/aps.74.20250075
Abstract:
Dicke model, as an important many-body model in quantum optics, describes the interaction between multiple identical two-level atoms and a quantized electromagnetic field. This spin-boson model shows collective phenomena in light-matter interaction systems and can undergo a second-order quantum phase transition from a normal phase to a superradiant phase when the coupling strength between the two-level atoms and the optical field exceeds a critical value. Dicke model embodies unique many-body quantum theories. And it has been widely studied and obtained many significant research results in quantum information, quantum process, and other quantum systems. Meanwhile, Dicke model also has wide applications in quantum optics and condensed matter physics. The extended Dicke model, describing the interaction of a Bose-Einstein condensate in an optical cavity, provides a remarkable platform for studying extraordinary quantum phase transitions in theory and experiment. Based on the recent experiment on non-Hermitian coupling between two long-lived atomic spin waves in an optical cavity, in this work we use spin-coherent-state variational method and present the macroscopic quantum-state energy of the non-Hermitian Dicke model. The spin coherent state variational method has an advantage in the theoretical research of macroscopic quantum states, especially in the normal and the inverted pseudospin states. In the variational method, optical coherent states and atomic extremum spin coherent states are used as the trial wave functions. A Hermitian transformation operator is proposed to diagonalize the non-Hermitian Hamiltonian, which is different from the ordinary quantum mechanics where the transformation operator must be unitary. Herein, the energy function is not necessarily real in the entire coupling region. Beyond an exceptional point, the spectrum becomes complex and introducing biorthogonal sets of atomic extremum states is necessary to evaluate the average quantities. The normal phase (for the zero average photon number) possesses real energy and atomic population. The non-Hermitian interaction destroys the superradiant phase (for the stable nonzero average photon number) and leads to the absence of quantum phase transition. However, the introduced atom-photon interaction, which is induced by the pump field experimentally, can change the situation, dramatically. The pump field can balance the loss by the non-Hermitian atom-photon interaction to achieve the superradiant phase. An interesting double exceptional point are observed in the energy functional. There is the real spectrum below the first exceptional point and beyond the second exceptional point, while there is a complex spectrum between these two exceptional points. The superradiant phase appears only beyond a critical value, which is related to the nonlinear interaction and the pump laser. A new and inverted quantum phase transition from the superradiant phase to the normal phase, is observed by modulating the atom-field coupling strength. The superradiant phase of the population inversion state appears for a negative effective frequency and a large atom-photon interaction. The influence of the dissipative coupling may be observed in cold atom experiment in an optical cavity. All the parameters adopted in this work are the actual experimental parameters.
2025, 74(13): 130302.
doi: 10.7498/aps.74.20241642
Abstract:
In recent years, quantum communication technology has developed rapidly, and quantum communication schemes based on hyperentangled states have attracted widespread attention due to their efficiency and security. However, in practical communication, maximally hyperentangled states are highly susceptible to environmental noise, which causes them to degrade into non-maximally hyperentangled states. This degradation significantly reduces the fidelity of the quantum information and communication efficiency. In this article, we propose an efficient entanglement concentration scheme to restore degraded polarization-time hyperentangled W states, thereby enhancing the reliability and transmission distance of multiparty quantum communication. The protocol employs the parameter-splitting approach, where the receiver performs local operations on received non-maximally hyperentangled photons by using linear optical elements, achieving hyperentanglement concentration through detector responses and post-selection. This method eliminates the need for auxiliary photons, thereby reducing the use of quantum resources and maintaining operational simplicity. Moreover, the scheme can be extended to N-photon hyperentangled W states. The theoretical calculations demonstrate that the success probability of the protocol is determined by the minimal parameter of the hyperentangled state, exhibiting a monotonic increase as this parameter grows. Under ideal conditions, the maximum success probability approaches unity and the success probability improves with the number of entangled photons increasing. When considering the efficiency of practical optical components, the maximal success probabilities for hyperentangled W states with N = 3, 4, and 5 are found to be 0.856, 0.791, and 0.732, respectively. Consequently, the proposed scheme efficiently concentrates the degraded polarization-time hyperentangled W state into the maximally hyperentangled state. This work is of significant importance for long-distance information transmission and provides theoretical references for implementing long-distance multi-party quantum communication.
In recent years, quantum communication technology has developed rapidly, and quantum communication schemes based on hyperentangled states have attracted widespread attention due to their efficiency and security. However, in practical communication, maximally hyperentangled states are highly susceptible to environmental noise, which causes them to degrade into non-maximally hyperentangled states. This degradation significantly reduces the fidelity of the quantum information and communication efficiency. In this article, we propose an efficient entanglement concentration scheme to restore degraded polarization-time hyperentangled W states, thereby enhancing the reliability and transmission distance of multiparty quantum communication. The protocol employs the parameter-splitting approach, where the receiver performs local operations on received non-maximally hyperentangled photons by using linear optical elements, achieving hyperentanglement concentration through detector responses and post-selection. This method eliminates the need for auxiliary photons, thereby reducing the use of quantum resources and maintaining operational simplicity. Moreover, the scheme can be extended to N-photon hyperentangled W states. The theoretical calculations demonstrate that the success probability of the protocol is determined by the minimal parameter of the hyperentangled state, exhibiting a monotonic increase as this parameter grows. Under ideal conditions, the maximum success probability approaches unity and the success probability improves with the number of entangled photons increasing. When considering the efficiency of practical optical components, the maximal success probabilities for hyperentangled W states with N = 3, 4, and 5 are found to be 0.856, 0.791, and 0.732, respectively. Consequently, the proposed scheme efficiently concentrates the degraded polarization-time hyperentangled W state into the maximally hyperentangled state. This work is of significant importance for long-distance information transmission and provides theoretical references for implementing long-distance multi-party quantum communication.
2025, 74(13): 130501.
doi: 10.7498/aps.74.20241203
Abstract:
Arthropods, including spiders and mantises, can maintain their body stability on shaking surfaces, such as spiderwebs or leaves. This impressive stability can be attributed to the specific geometric shape of their limbs, which exhibit an M-shaped structure. Inspired by this geometry, this work proposes an arthropod-limb-inspired M-shaped structure for low-frequency vibration isolation. First, the design method of the M-shaped quasi-zero-stiffness (QZS) structure is presented. A static analysis of potential energy, restoring force, and equivalent stiffness is conducted, showing that the M-shaped structure enables a horizontal linear spring to generate nonlinear stiffness in the vertical direction. More importantly, this nonlinear stiffness effectively compensates for the negative stiffness in large-displacement responses, thereby achieving a wider quasi-zero-stiffness region than the conventional three-spring-based QZS structure. Subsequently, the harmonic balance method is employed to derive approximate analytical solutions for the M-shaped QZS structure, which are well validated through numerical simulation. A comparison between the proposed M-shaped QZS structure and the conventional three-spring-based QZS structure is performed. Results show that the M-shaped QZS structure is advantageous for reducing both the cut-in isolation frequency and the resonance frequency. In particular, under large excitation or small damping conditions, the performance improvement of the M-shaped QZS structure in terms of reducing the resonance frequency and maximum response becomes more pronounced. The underlying mechanism behind this feature is primarily attributed to the expanded QZS region induced by the M-shaped structure. Finally, since the M-shaped structures vary among different arthropods, the effect of the geometry of M-shaped structures on low-frequency vibration performance is investigated. Interestingly, a trade-off between vibration isolation performance and loading mass is observed. As the M-shaped structure becomes flatter and the QZS region expands, the cut-in isolation frequency, resonance frequency/peak, and loading mass all decrease. This occurs because a flatter M-shaped structure leads to a reduction in the equivalent stiffness generated by the horizontal stiffness. Therefore, as the loading mass capacity decreases, the low-frequency vibration isolation performance is enhanced. This novel finding provides a reasonable explanation for why most arthropods possess many pairs of limbs, allowing the loading mass to be distributed while achieving excellent low-frequency vibration isolation.
Arthropods, including spiders and mantises, can maintain their body stability on shaking surfaces, such as spiderwebs or leaves. This impressive stability can be attributed to the specific geometric shape of their limbs, which exhibit an M-shaped structure. Inspired by this geometry, this work proposes an arthropod-limb-inspired M-shaped structure for low-frequency vibration isolation. First, the design method of the M-shaped quasi-zero-stiffness (QZS) structure is presented. A static analysis of potential energy, restoring force, and equivalent stiffness is conducted, showing that the M-shaped structure enables a horizontal linear spring to generate nonlinear stiffness in the vertical direction. More importantly, this nonlinear stiffness effectively compensates for the negative stiffness in large-displacement responses, thereby achieving a wider quasi-zero-stiffness region than the conventional three-spring-based QZS structure. Subsequently, the harmonic balance method is employed to derive approximate analytical solutions for the M-shaped QZS structure, which are well validated through numerical simulation. A comparison between the proposed M-shaped QZS structure and the conventional three-spring-based QZS structure is performed. Results show that the M-shaped QZS structure is advantageous for reducing both the cut-in isolation frequency and the resonance frequency. In particular, under large excitation or small damping conditions, the performance improvement of the M-shaped QZS structure in terms of reducing the resonance frequency and maximum response becomes more pronounced. The underlying mechanism behind this feature is primarily attributed to the expanded QZS region induced by the M-shaped structure. Finally, since the M-shaped structures vary among different arthropods, the effect of the geometry of M-shaped structures on low-frequency vibration performance is investigated. Interestingly, a trade-off between vibration isolation performance and loading mass is observed. As the M-shaped structure becomes flatter and the QZS region expands, the cut-in isolation frequency, resonance frequency/peak, and loading mass all decrease. This occurs because a flatter M-shaped structure leads to a reduction in the equivalent stiffness generated by the horizontal stiffness. Therefore, as the loading mass capacity decreases, the low-frequency vibration isolation performance is enhanced. This novel finding provides a reasonable explanation for why most arthropods possess many pairs of limbs, allowing the loading mass to be distributed while achieving excellent low-frequency vibration isolation.
2025, 74(13): 132501.
doi: 10.7498/aps.74.20250214
Abstract:
Neutron capture cross sections, as important parameters for describing the probability of neutron-nucleus reactions, play a key role in multiple scientific fields. In astrophysics, neutron capture cross section data are essential elements for understanding stellar nucleosynthesis processes. In particular, in extreme environments such as supernova explosions and neutron star mergers, accurate neutron capture cross sections can reveal the secrets of heavy element formation. In the field of national security, neutron capture cross sections are crucial for the design of nuclear weapons and the security of nuclear materials. By accurately grasping the neutron capture characteristics of different nuclides, the nuclear reaction process can be optimized to ensure strategic security. In addition, in the simulation of nuclear power generation, neutron capture cross section data are the basis of reactor design and operational analysis. Through in-depth research on and precise measurements of neutron capture cross sections, the safety and efficiency of nuclear reactors can be improved, thus promoting the sustainable development of nuclear energy. At present, there is little research on the neutron capture cross sections of nuclides with half-lives of only a few years or even shorter, mainly due to the complexity of measurement techniques and the instability of the nuclides themselves. The neutron capture cross section data of these nuclides are crucial for reactor design, nuclear medicine applications, and nuclear waste treatment. Further research requires the development of more advanced detection techniques and theoretical models to accurately measure and predict their neutron capture behavior. The surrogate-reaction method, as an effective measurement means, plays an important role in studying reaction cross sections of short-lived nuclides. Its basic idea is to indirectly obtain the reaction cross section information of short-lived nuclides by measuring the specific particles emitted by stable nuclides. Specifically, when stable nuclides are bombarded by high-energy particles, nuclear reactions will occur and specific particles will be released. By accurately measuring the energies, angles, and numbers of these particles, the cross sections of short-lived nuclides in the corresponding reaction can be inferred. This method can not only overcome the technical difficulties in directly measuring short-lived nuclides, but also improve the accuracy and reliability of the measurement results, which provides important support for nuclear physics research. In addition, the surrogate-reaction method also shows broad application prospects in the fields of nuclear technology application and nuclear data assessment. The experiment is carried out on the Beijing HI-13 tandem accelerator at the China Institute of Atomic Energy. 89Y is bombarded with 22 MeV protons, and the 85Sr(n, γ) cross section is measured through the (p, αγ) reaction. The telescope array composed of silicon strip detectors can effectively identify the reaction products. By precisely measuring parameters such as the energies and angles of particles, the array can distinguish different nuclides, thus determining the outgoing particles. Combined with the γ-ray energy spectrum analysis of the HPGe detector, the (n, γ) reaction cross section data of 85Sr under the Weisskopf-Ewing (W-E) approximation are extracted. Due to the mismatch of the Jπ population between the existing alternative reactions and direct reactions, it is necessary to compensate for this mismatch and then correct the results. In order to obtain relatively reliable results, the Jπ population calculated by TALYS is used to revise the experimental data of the (n, γ) cross section. These results indicate that the cross section of 85Sr(n, γ) varies with neutron energy in a specific energy range, which is consistent with the trend of the existing international evaluation library data. This validates the effectiveness of cross section measurement as an alternative reaction method, thereby providing an important experimental basis for further exploring the nuclear reaction mechanism and nuclear data application. This method has reference significance for the cross section measurement of other nuclides.
2025, 74(13): 132502.
doi: 10.7498/aps.74.20250239
Abstract:
In this work, semi-classical quantum molecular dynamics is used to investigate the influence of high momentum distribution on nuclear reaction systems by using photons produced by nucleon bremsstrahlung as indicators. The research examines the relationship between this influence and the incident energy, collision parameters, and the differences in isotopic spin cross-sections. Under the condition of a 20% high-momentum distribution and ensuring the conservation of nuclear energy, a system different from traditional configurations is constructed by sampling neutrons and protons using the Monte Carlo method, with the selected nucleons exhibiting characteristics of high-momentum nucleons. The influence of high-momentum distribution within the nucleus on bremsstrahlung photons is analyzed through the collision results of heavy ions in nuclear systems spanning from light to heavy species. The results indicate that, at an incident energy value of 50 MeV/u, the collision system studied in this work exhibits higher photon density in the high-energy region of high momentum distribution system than traditional system for nuclear systems ranging from light-mass system (18O+18O), lower-mass system (46Ca+46Ca), and medium-mass system (86Kr+86Sr) to heavy-mass system (124Sn+124Sn), than those, while there is no significant difference in photon density in the low-energy region. At a collision parameter b = 0 fm, the energy shift phenomenon of photons produced by collisions becomes more pronounced with the increase of incident energy, peaking at E = 150 MeV/u. This energy transfer phenomenon induced by high momentum distribution typically exists within the collision parameter range from b = 0 fm to b = 6 fm. When considering isotopic spin cross-sections, high momentum distribution can affect the collision probability of the system. Therefore, high momentum distribution has a significant influence on nuclear reaction system, closely related to incident energy and isotopic spin cross-section.
In this work, semi-classical quantum molecular dynamics is used to investigate the influence of high momentum distribution on nuclear reaction systems by using photons produced by nucleon bremsstrahlung as indicators. The research examines the relationship between this influence and the incident energy, collision parameters, and the differences in isotopic spin cross-sections. Under the condition of a 20% high-momentum distribution and ensuring the conservation of nuclear energy, a system different from traditional configurations is constructed by sampling neutrons and protons using the Monte Carlo method, with the selected nucleons exhibiting characteristics of high-momentum nucleons. The influence of high-momentum distribution within the nucleus on bremsstrahlung photons is analyzed through the collision results of heavy ions in nuclear systems spanning from light to heavy species. The results indicate that, at an incident energy value of 50 MeV/u, the collision system studied in this work exhibits higher photon density in the high-energy region of high momentum distribution system than traditional system for nuclear systems ranging from light-mass system (18O+18O), lower-mass system (46Ca+46Ca), and medium-mass system (86Kr+86Sr) to heavy-mass system (124Sn+124Sn), than those, while there is no significant difference in photon density in the low-energy region. At a collision parameter b = 0 fm, the energy shift phenomenon of photons produced by collisions becomes more pronounced with the increase of incident energy, peaking at E = 150 MeV/u. This energy transfer phenomenon induced by high momentum distribution typically exists within the collision parameter range from b = 0 fm to b = 6 fm. When considering isotopic spin cross-sections, high momentum distribution can affect the collision probability of the system. Therefore, high momentum distribution has a significant influence on nuclear reaction system, closely related to incident energy and isotopic spin cross-section.
2025, 74(13): 133201.
doi: 10.7498/aps.74.20241504
Abstract:
Coherent population transfer in quantum systems is of fundamental importance in many fields such as atomic and molecular collision dynamics, and information processing for qubit systems. Stimulated Raman nonadiabatic passage technique, when implemented in an externally driven three-level system, provides an efficient approach for realizing accelerated population transfer while maintaining robust quantum coherence, with no need of rotating wave approximation. However, previous protocols employ multiple pulses and imply that Rabi frequencies have a few oscillations during dynamical evolution. In this work, under the condition of two-photon resonance, we use a gauge transformation method to inversely design a Λ-configuration three-level system that can be solved exactly. By using SU(3) transformation, we establish the relationship between Schrödinger representation and gauge representation, where the effective Hamiltonian is an Abelian operator. Subsequently, we construct the desired Hamiltonian and further investigate its dynamic behavior. The result shows that by imposing appropriate boundary conditions on the control parameters, high-fidelity population transfer can be achieved in ideal evolution. In addition, for the practical case with pulse truncation and intermediate state decay, the fidelities of specific models can reach about 99.996% and 99.983%, respectively. Compared with other existing nonadiabatic quantum control schemes, the present scheme has the distinctive advantages. We achieve the required quantum control by applying only a few sets of Stokes and pump pulses without introducing any additional microwave field. This method does not exhibit Rabi oscillations in the dynamic process, nor does it produce singularities in the pulse itself.
Coherent population transfer in quantum systems is of fundamental importance in many fields such as atomic and molecular collision dynamics, and information processing for qubit systems. Stimulated Raman nonadiabatic passage technique, when implemented in an externally driven three-level system, provides an efficient approach for realizing accelerated population transfer while maintaining robust quantum coherence, with no need of rotating wave approximation. However, previous protocols employ multiple pulses and imply that Rabi frequencies have a few oscillations during dynamical evolution. In this work, under the condition of two-photon resonance, we use a gauge transformation method to inversely design a Λ-configuration three-level system that can be solved exactly. By using SU(3) transformation, we establish the relationship between Schrödinger representation and gauge representation, where the effective Hamiltonian is an Abelian operator. Subsequently, we construct the desired Hamiltonian and further investigate its dynamic behavior. The result shows that by imposing appropriate boundary conditions on the control parameters, high-fidelity population transfer can be achieved in ideal evolution. In addition, for the practical case with pulse truncation and intermediate state decay, the fidelities of specific models can reach about 99.996% and 99.983%, respectively. Compared with other existing nonadiabatic quantum control schemes, the present scheme has the distinctive advantages. We achieve the required quantum control by applying only a few sets of Stokes and pump pulses without introducing any additional microwave field. This method does not exhibit Rabi oscillations in the dynamic process, nor does it produce singularities in the pulse itself.
2025, 74(13): 134201.
doi: 10.7498/aps.74.20250063
Abstract:
Resolution is one of the key indicators in the cavity optomechanical mass sensing. The bound states in the continuum (BIC) enable extremely narrow linewidths, which have great potential for enhancing the resolution of cavity optomechanical mass sensors. In order to enhance the resolution of cavity optomechanical mass sensing, we propose a simple double-cavity optomechanical system under the blue-detuning condition to realize the BIC singularity, and present an ultrahigh-resolution mass sensing scheme based on BIC in this paper. By solving the linearized Heisenberg-Langevin equations, the expressions for the susceptibility and transmission rate of the system are derived. Based on the system’s susceptibility, we study the absorption characteristics of the probe field under the blue-detuning condition. The absorption spectrum of the system exhibits three peaks, among which the central narrow peak exhibits optical gain characteristics, collectively forming a phenomenon analogous to double optomechanically induced transparency. Then, analysis of the dressed-state energy-level structure reveals that the formation of the central narrow peak stems from quantum interference effects in a double-Λ-type dark-state resonance. The linewidth evolution of the quasi-BIC central narrow peak is investigated by analyzing the dependence of the real part and imaginary part of the corresponding eigenvalue on the optomechanical coupling strength. It can be found that the imaginary part of the eigenvalue for the central narrow peak becomes zero when the optomechanical cooperativity coefficient equals the double-cavity cooperativity coefficient plus one, enabling the realization of BIC. The linewidth of the central peak is ultrasmall under this BIC condition, and the shift of the transmission peak in the transmission spectrum is linearly related to the adsorbed mass. Based on these characteristics, the system under the BIC condition can achieve mass sensing with an ultrahigh resolution, with a resolution of approximately 1 ag. Meanwhile, the linewidth of the transmission peak can be suppressed below 1 Hz, which is superior to the traditional optomechanical mass sensing schemes based on four-wave mixing, photonic molecules, and plasmon polaritons. Systematic investigation of eigenvalue variations and the corresponding sensitivity enhancement factors under mechanical resonator frequency shift reveals that the real part and the imaginary part of the eigenvalue associated with the central peak exhibit negligible variations under such perturbations. This indicates that the mass sensing scheme based on BIC in the double-cavity optomechanical system can maintain ultrahigh resolution and precise mass measurement under mechanical resonator frequency shift. Our scheme provides an approach for realizing the BIC singularity in optomechanical systems, and presents a new route to improving the resolution of mass sensors based on cavity optomechanical systems.
Resolution is one of the key indicators in the cavity optomechanical mass sensing. The bound states in the continuum (BIC) enable extremely narrow linewidths, which have great potential for enhancing the resolution of cavity optomechanical mass sensors. In order to enhance the resolution of cavity optomechanical mass sensing, we propose a simple double-cavity optomechanical system under the blue-detuning condition to realize the BIC singularity, and present an ultrahigh-resolution mass sensing scheme based on BIC in this paper. By solving the linearized Heisenberg-Langevin equations, the expressions for the susceptibility and transmission rate of the system are derived. Based on the system’s susceptibility, we study the absorption characteristics of the probe field under the blue-detuning condition. The absorption spectrum of the system exhibits three peaks, among which the central narrow peak exhibits optical gain characteristics, collectively forming a phenomenon analogous to double optomechanically induced transparency. Then, analysis of the dressed-state energy-level structure reveals that the formation of the central narrow peak stems from quantum interference effects in a double-Λ-type dark-state resonance. The linewidth evolution of the quasi-BIC central narrow peak is investigated by analyzing the dependence of the real part and imaginary part of the corresponding eigenvalue on the optomechanical coupling strength. It can be found that the imaginary part of the eigenvalue for the central narrow peak becomes zero when the optomechanical cooperativity coefficient equals the double-cavity cooperativity coefficient plus one, enabling the realization of BIC. The linewidth of the central peak is ultrasmall under this BIC condition, and the shift of the transmission peak in the transmission spectrum is linearly related to the adsorbed mass. Based on these characteristics, the system under the BIC condition can achieve mass sensing with an ultrahigh resolution, with a resolution of approximately 1 ag. Meanwhile, the linewidth of the transmission peak can be suppressed below 1 Hz, which is superior to the traditional optomechanical mass sensing schemes based on four-wave mixing, photonic molecules, and plasmon polaritons. Systematic investigation of eigenvalue variations and the corresponding sensitivity enhancement factors under mechanical resonator frequency shift reveals that the real part and the imaginary part of the eigenvalue associated with the central peak exhibit negligible variations under such perturbations. This indicates that the mass sensing scheme based on BIC in the double-cavity optomechanical system can maintain ultrahigh resolution and precise mass measurement under mechanical resonator frequency shift. Our scheme provides an approach for realizing the BIC singularity in optomechanical systems, and presents a new route to improving the resolution of mass sensors based on cavity optomechanical systems.
2025, 74(13): 134202.
doi: 10.7498/aps.74.20250418
Abstract:
Power scalability of single-frequency single-mode Yb-doped fiber amplifiers is significant for their applications. Considering their potential applications in radiation environments, the influence of radiation-induced attenuation (RIA) on the power scalability of signal-frequency single-mode Yb-doped fiber amplifiers is studied in this work. A theoretical model for predicting the power limitation of single-frequency single-mode Yb-doped fiber amplifiers is proposed by considering the limitations of pump brightness, stimulated Brillion scattering (SBS), and transverse mode instability (TMI), and taking RIA into account. It is revealed that RIA can not only greatly lower the power limit, but also make it more difficult to achieve power limitation. The analytic formula of power limit is deduced. It is found that the effect of RIA on the power limitation is mainly determined by the optimal length with no RIA. It is suggested that the reduction of power limitation caused by RIA can be weakened by shortening the optimum length of Yb-doped fiber. The requirement of Yb-doped fiber for achieving certain target power is also discussed and the needed ranges of core diameter and fiber length are given analytically. It is found that the RIA will increase the difficulty in achieving the target power by limiting the option of Yb-doped fibers. In spite of that, it is also found that such an effect of RIA can be weakened by increasing the core absorption coefficient and pump brightness. Moreover, the numerical model and related formula can also reveal the influence of radiation dose by fitting the relationship between RIA and radiation dose through using the empirical expressions such as power law. They can provide significant guidance for designing and utilizing single-frequency single-mode Yb-doped fiber amplifiers in radiation environments.
2025, 74(13): 134203.
doi: 10.7498/aps.74.20250129
Abstract:
The inverse problem of reconstructing the PT-symmetric potential in a class of (1+1)-dimensional nonlinear Schrödinger equation is investigated in this work. The governing equation is given as follows: \begin{document}$ \text{i}u_t(x,t) + u_{xx}(x,t) + \alpha\left| u(x,t) \right|^2 u(x,t) + \beta\left| u(x,t) \right|^4 u(x,t) + V_{\rm PT}(x) u(x,t) = 0, $\end{document} where u(x, t) denotes the wave function in dimensionless coordinates, and the PT-symmetric potential VPT(x) = V(x)+iW(x) consists of a real part V(x) and an imaginary part iW(x), satisfying the symmetry conditions V(x) = V(–x) and W(x) = –W(x). In this inverse problem, partial boundary values of the wave function are known, while the potential \begin{document}$ V_{\rm PT}(x) $\end{document} is the unknown to be reconstructed. To address this challenge, we construct a three-level finite difference scheme for the corresponding forward problem, discretizing both the wave function and the potential. This approach leads to a nonlinear system of equations that links the known wave data to the unknown potential values. To simplify the computation, we separate the real and imaginary parts of this system and reformulate it as a real-valued nonlinear system of equations. For the numerical solution, we employ an inexact Newton method to iteratively solve the resulting nonlinear system. In each iteration, the Jacobian matrix is approximated numerically. To ensure that the reconstructed potential strictly satisfies the PT-symmetry, a parity correction mechanism is introduced at the end of the iteration process. We conduct numerical experiments under both noise-free (exact data) and noisy (inexact data) conditions. The results indicate that in both cases, the proposed method converges within a limited number of iterations and keeps the reconstruction error within the order of 10–3. These findings verify the effectiveness and robustness of this method in solving inverse problems of PT-symmetric potentials, and provide a new idea and powerful method for related numerical applications.
2025, 74(13): 134204.
doi: 10.7498/aps.74.20250036
Abstract:
Continuous time crystals represent a novel state in many-body systems that can self-organize into timeperiodic oscillations without external periodic driving. Recent experiments have achieved such systems in dissipative solid-state materials, where persistent temporal order is autonomously sustained. A decisive characteristic of time crystals is their robustness, meaning that despite various disturbances, including fluctuations in internal parameters and external noise, they can still maintain rhythmic behavior, which has scientific value and echnological application potential. Although previous studies have shown that specific experimental parameters have robustness, thare is a lack of a systematic framework for quantifying and predicting their resilience to disturbances, and the underlying physics of this robustnessis still not fully understood. The key unresolved problems include how nonlinear interactions and feedback mechanisms contribute to stability, and what the critical thresholds are for parameter variations beyond which temporal order collapses. This work addresses these gaps by systematically analyzing how internal parameters and external influences affect the oscillation period and overall stability. Internally, the dynamics are determined by dipole-dipole interactions and atomic transition strengths, which define the temporal symmetry breaking that occurs in the system. Externally, the response of the system is controlled by the strength of the optical driving field and the energy dissipation rate. A key finding is the determination of an intrinsic feedback mechanism for a dynamically stabile time crystal. This mechanism plays a role in restoring force, correcting deviations caused by minor disturbances, and maintaining the coherence of oscillatory phase. Moreover, the system displays nonlinear dynamical behavior, characterized by two different states: one is stable oscillation continuing under moderate disturbance, and the other is stronger disturbance causing dynamical phase transition, resulting in switching between disordered or dynamically unstable state and stable state. These results provide a comprehensive understanding of the various behaviors observed in continuous time crystals and lay an important theoretical foundation for utilizing their unique properties in advanced applications such as quantum information processing and precision metrology.
2025, 74(13): 134301.
doi: 10.7498/aps.74.20250294
Abstract:
To address the limitations of traditional one-dimensional longitudinal vibration transducers in terms of single-directional acoustic radiation and limited radiation area, this study proposes a novel longitudinal-bending orthogonal coupled piezoelectric ultrasonic vibration system (The vibration schematic diagram of the vibration system is shown in Fig.(a)). By synergistically integrating the orthogonal longitudinal vibration of a sandwich-type piezoelectric transducer, displacement amplification via conical horns, and flexural vibration of metal disks, the system achieves two-dimensional four-directional large-area ultrasonic radiation. A combination of theoretical modeling, finite element simulation, and experimental validation is adopted to investigate the dynamic characteristics the system. First, an electromechanical equivalent circuit model is established based on coupled vibration theory and electro-mechanical analogy principles, from which resonance frequency equation and anti-resonance frequency equation are both derived. Subsequently, finite element simulations are conducted using COMSOL multiphysics to analyze the impedance responses, vibration modes, and acoustic radiation characteristics in air. Finally, prototype fabrication and performance verification are performed through impedance-analyzer measurements, laser vibrometry, and ultrasonic de-misting experiments. Compared with experimental results (22086 Hz and 22196 Hz), the theoretical predictions of anti-phase (22871 Hz) and in-phase (23016 Hz) resonance frequencies show relative errors below 3.7%. Finite element simulations combined with experimental validation confirm the excitation mechanism of 5th-order flexural vibration in the disks. Acoustic directivity patterns reveal a multi-beam radiation pattern with coexistence of main lobes and side lobes (The directional patterns under anti-phase and in-phase vibration modes is shown in Fig.(b)), while in-phase vibration mode demonstrates higher ultrasonic radiation intensity in the near-field region. Furthermore, under 200-W input power, the system reduces smoke concentration within 70 s, demonstrating its feasibility for gas treatment applications. By leveraging the synergistic effect of orthogonal longitudinal coupling and flexural vibration, this design overcomes the limitations of traditional transducers and provides theoretical and technical support for high-power multi-directional acoustic radiation. The research outcomes provide the promising solutions for applications in ultrasonic smoke removal, ultrasonic dust removal, and other gas-phase processing fields.
2025, 74(13): 134501.
doi: 10.7498/aps.74.20250231
Abstract:
Granular materials are ubiquitous in nature and industrial production. Investigating the structure of packing is crucial for understanding the physical properties of granular materials. Owing to their symmetry and simple geometry, spherical particles have long served as an ideal model for studying granular packing, yielding numerous research outcomes. In recent years, the influence of particle shape on packing structures has drawn considerable attention. Non-spherical particles, characterized by complex shapes, tend to interlock and form stable structures. Their significant geometric cohesion notably affects the stability and porosity of granular packing. To investigate the structural evolution and compaction mechanisms of three-dimensional concave particles (hexapod-shaped) under external tapping, focusing on the role of geometric cohesion in enhancing mechanical stability, we employ hexapod-shaped particles that are composed of three mutually orthogonal spherocylinders in this study. The granular system subjected to consecutive tapping can reach a stationary state. In the densifying process of the system, packing structures with different volume fractions will be formed. Meanwhile, by combining with X-ray tomography, we can obtain the microstructure. The findings reveal that the volume fraction of “hexapod” particle packing is significantly lower than that of hard-sphere systems. The compaction curves of “hexapod” particles across varying tapping intensities are accurately described by the Kohlrausch-Williams-Watt (KWW) law, which is consistent with hard-sphere system, suggesting a relaxation process governed by heterogeneous modes. Furthermore, both the volume fraction of the steady-state granular packing and the average contact number exhibit an inverse relationship with tapping intensity, increasing as the intensity decreases. A detailed statistical analysis of contact points indicates that the compaction process of “hexapod” particles is predominantly influenced by two factors: the augmentation in the number of neighboring contacting particles and the modification of contact forms. These factors collectively enhance the degree of interlocking among hexapods within the system. Specifically, the compaction process is primarily propelled by the escalation in neighboring contacts and the refinement of contact types, particularly the increase in cylinder-cylinder (cc) contact. This rise in cc contact significantly enhances mechanical stability through strengthening geometric interlocking. This study reveals the structural evolution characteristics of non-spherical particles in the compaction process and provide important experimental support for understanding the unique mechanical and dynamic properties of concave particle packing. This research not only enriches the experimental data of granular packing structures but also offers a new perspective for exploring the universal laws of packing for particles of different shapes. This study is to lay a more solid foundation for the theoretical research and industrial applications of granular materials, thereby promoting technological progress and innovation in related fields.
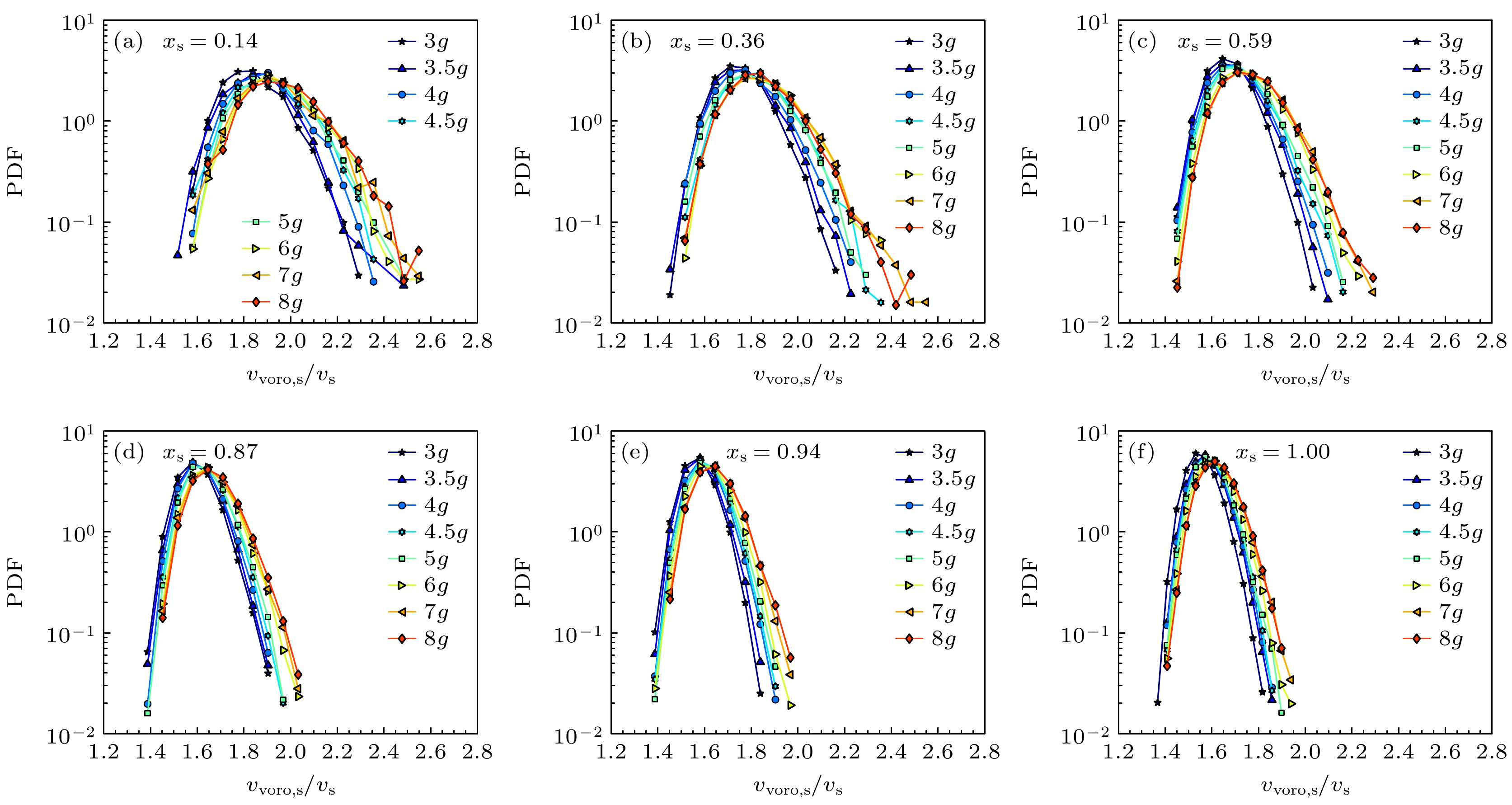
2025, 74(13): 134502.
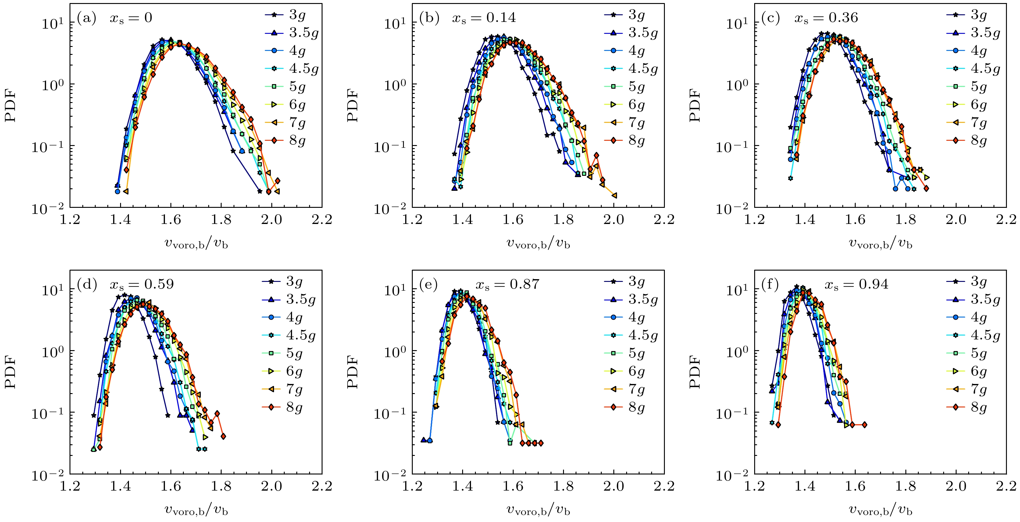
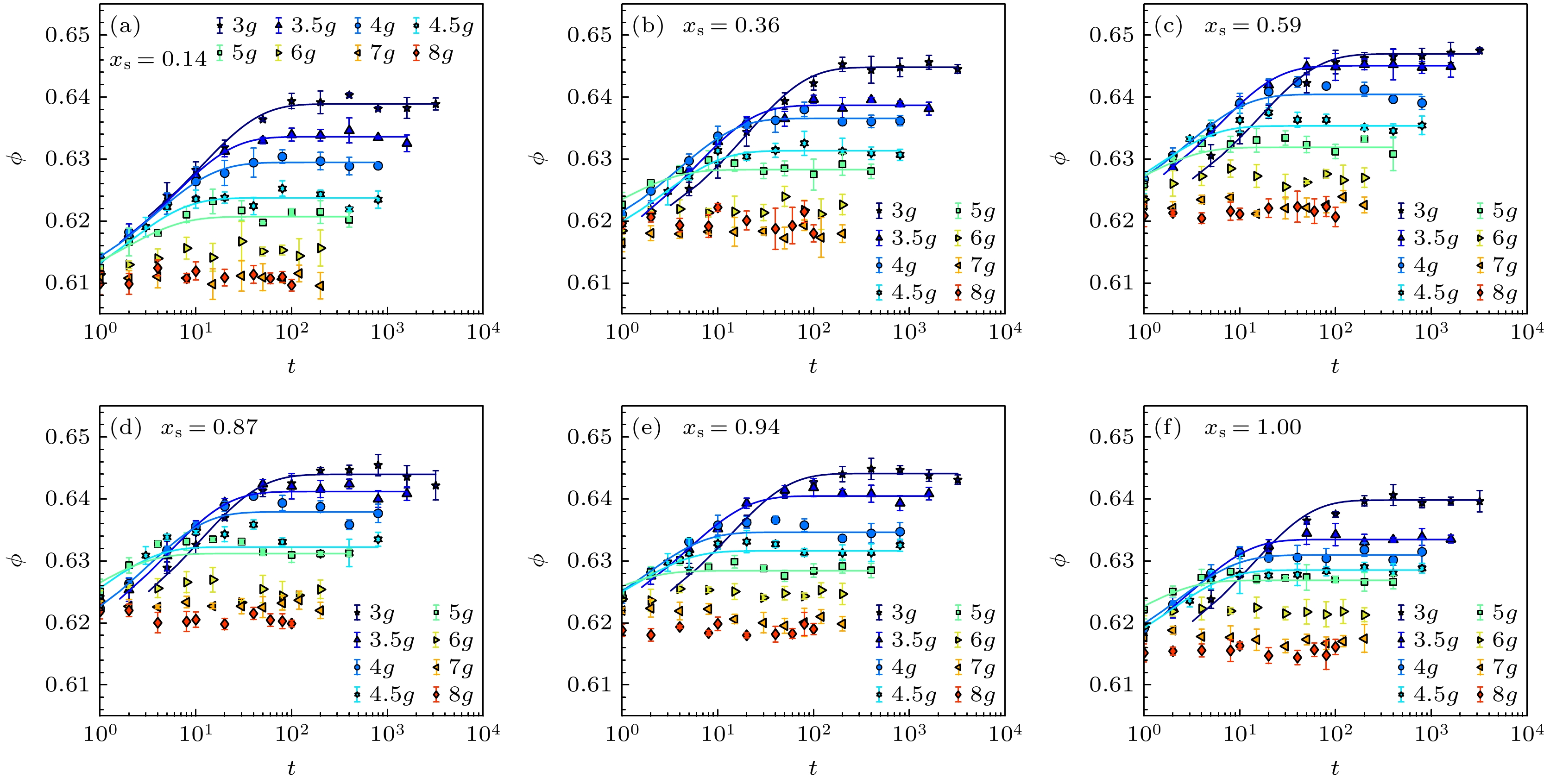
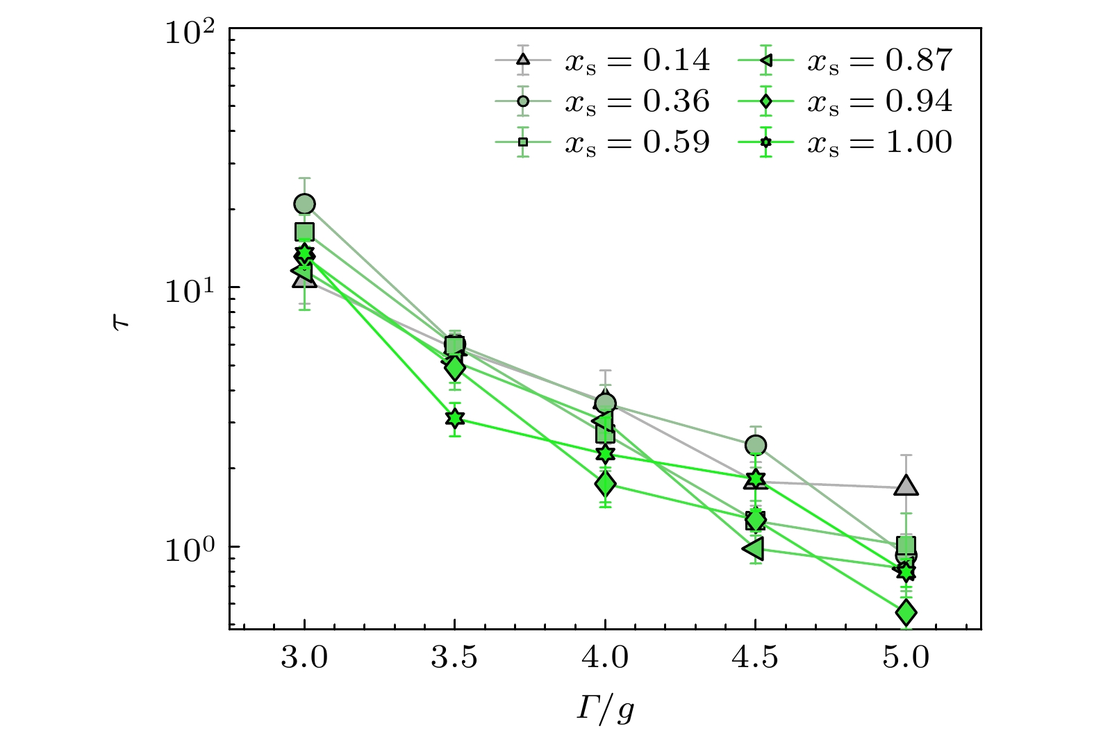
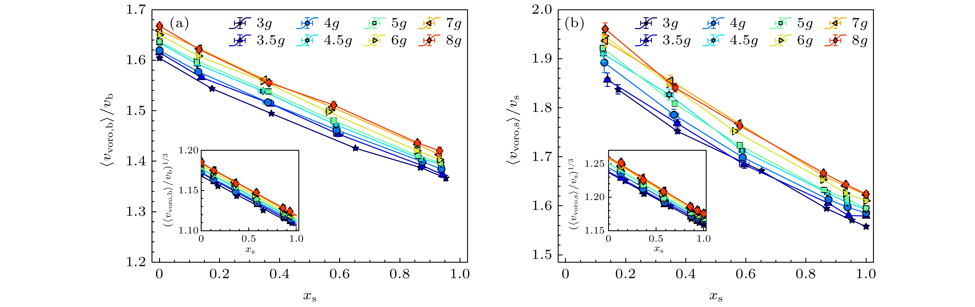
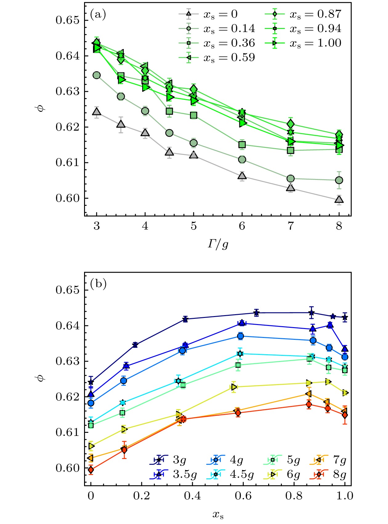
doi: 10.7498/aps.74.20250232
Abstract:
The packing behavior and mechanical properties of granular materials play a critical role in various engineering applications, including materials handling, construction, and energy storage. Although significant progress has been made in understanding the packing of monodisperse spheres, real-world granular systems often exhibit polydispersity, where particles of different sizes coexist. Binary systems, where the particle size ratio is adjustable, serve as a simplified model to study the structural and dynamical properties of granular materials. However, most theoretical studies on binary systems focus on idealized frictionless models, neglecting the coupled effects of friction and preparation history, and experimental data for three-dimensional systems remain limited. This study seeks to address these gaps by investigating the packing behavior of binary hard spheres under tapping through using advanced experimental techniques such as X-ray computed tomography (CT) and tap-driven compaction. The effects of particle size ratio and tap intensity on the packing fraction and local structure of binary granular systems are investigated systematically. The experimental results show that the steady-state packing fraction decreases as tap intensity increases, exhibiting similar behavior at different composition ratios. Additionally, the compaction dynamics are quantified using the Kohlrausch-Williams-Watts (KWW) relaxation function, revealing that the relaxation time decays exponentially with tap intensity increasing, independent of the composition ratio. Voronoi cell analysis demonstrates that the local volume distribution of each component in a bidisperse system composed of big particles and small particles is highly similar to that in a monodisperse system. Notably, as tap intensity decreases, the system density increases, and volume fluctuation decreases, reflecting the trends observed in monodisperse packings. Furthermore, the study highlights the influence of friction on the packing structure. For binary systems, big particles, with rougher surfaces, pack more loosely than smaller particles, and the coordination number increases with the proportion of smaller particles increasing. This suggests that frictional interactions between particles play a significant role in determining the packing density and structural stability of granular materials. The average coordination number and the steady-state packing fraction are found to be weakly dependent on each other, with friction and tap intensity (or effective temperature) being the primary factors affecting the system’s structural characteristics. These findings provide a comprehensive experimental framework for understanding the packing behavior of binary granular systems, with important implications for material design in industrial applications. This study contributes to developing a more complete statistical mechanical theory for granular materials through combining both frictional effects and the influence of preparation history. Future research may extend these findings to more complex particle size distributions and explore the relationship between structural property and mechanical property.
The packing behavior and mechanical properties of granular materials play a critical role in various engineering applications, including materials handling, construction, and energy storage. Although significant progress has been made in understanding the packing of monodisperse spheres, real-world granular systems often exhibit polydispersity, where particles of different sizes coexist. Binary systems, where the particle size ratio is adjustable, serve as a simplified model to study the structural and dynamical properties of granular materials. However, most theoretical studies on binary systems focus on idealized frictionless models, neglecting the coupled effects of friction and preparation history, and experimental data for three-dimensional systems remain limited. This study seeks to address these gaps by investigating the packing behavior of binary hard spheres under tapping through using advanced experimental techniques such as X-ray computed tomography (CT) and tap-driven compaction. The effects of particle size ratio and tap intensity on the packing fraction and local structure of binary granular systems are investigated systematically. The experimental results show that the steady-state packing fraction decreases as tap intensity increases, exhibiting similar behavior at different composition ratios. Additionally, the compaction dynamics are quantified using the Kohlrausch-Williams-Watts (KWW) relaxation function, revealing that the relaxation time decays exponentially with tap intensity increasing, independent of the composition ratio. Voronoi cell analysis demonstrates that the local volume distribution of each component in a bidisperse system composed of big particles and small particles is highly similar to that in a monodisperse system. Notably, as tap intensity decreases, the system density increases, and volume fluctuation decreases, reflecting the trends observed in monodisperse packings. Furthermore, the study highlights the influence of friction on the packing structure. For binary systems, big particles, with rougher surfaces, pack more loosely than smaller particles, and the coordination number increases with the proportion of smaller particles increasing. This suggests that frictional interactions between particles play a significant role in determining the packing density and structural stability of granular materials. The average coordination number and the steady-state packing fraction are found to be weakly dependent on each other, with friction and tap intensity (or effective temperature) being the primary factors affecting the system’s structural characteristics. These findings provide a comprehensive experimental framework for understanding the packing behavior of binary granular systems, with important implications for material design in industrial applications. This study contributes to developing a more complete statistical mechanical theory for granular materials through combining both frictional effects and the influence of preparation history. Future research may extend these findings to more complex particle size distributions and explore the relationship between structural property and mechanical property.
2025, 74(13): 134701.
doi: 10.7498/aps.74.20250474
Abstract:
Droplet microfluidics technology possesses significant potential applications in chemical analysis, biological detection, and material preparation. Passive droplet generation method can rapidly achieve droplet formation by using the geometric characteristics of microchannels and shear flow. As a typical structure, the influences of fluid parameters and symmetry differences in cross microchannels on the droplet generation process have not been fully studied. Therefore, this paper uses the lattice Boltzmann method to numerically simulate droplet generation in symmetric and asymmetric cross microchannels, thereby systematically analyzing the action mechanisms of capillary number, viscosity ratio, and microchannel symmetry. First, this study verifies the computational reliability of the numerical model through two classic cases, i.e. the droplet deformation under planar shear flow and stationary droplets on ideal solid surfaces. Then, this work focuses on studying the three flow stages in symmetric cross microchannels, i.e. interface immersion stage, shear-induced breakup stage, and the droplet migration and coalescence stage, and analyzes the synergistic mechanism of capillary number and viscosity ratio. In the symmetric cross microchannel structure, the capillary number is the main factor determining the droplet size in the cross microchannel. With the increase of the capillary number, the surface tension gradually weakens, causing the liquid bridge at the droplet neck to break more easily and generate droplets. In contrast, the effect of the viscosity ratio on the droplet size is relatively small, but it can suppress the generation of sub-droplets and improve the uniformity of droplets by adjusting the viscous resistance of the continuous phase. On this basis, this study further quantifies the influence of microchannel symmetry on the droplet generation process in cross microchannels. In the asymmetric cross microchannel structure, the microchannel deviation breaks the flow symmetry and weakens the cooperative shearing effect of the oil-phase fluid on the immersion structure of the water-phase fluid. When the microchannel deviates within the centerline range of the water-phase microchannel, the droplet size increases significantly with the increase of the microchannel deviation. This is mainly because the oil-phase fluid on the side far from the deviation first squeezes the immersion structure of the water-phase fluid, and then the oil-phase fluid near the deviation side exerts a secondary squeeze on the immersion structure, causing the neck liquid bridge of the immersion structure to continuously elongate and the shear position to shift along the microchannel deviation direction. When the microchannel deviation exceeds the centerline position of the water-phase microchannel, the interface fracture of the water-phase immersion structure mainly relies on the double squeezing effect of the oil-phase fluid and the surface tension of water-phase fluid, and the droplet size tends to be stable. The relevant research results lay a theoretical foundation for microchannel design and fluid parameter regulation in droplet microfluidics and thus further promote the application and development of droplet microfluidic technology.
Droplet microfluidics technology possesses significant potential applications in chemical analysis, biological detection, and material preparation. Passive droplet generation method can rapidly achieve droplet formation by using the geometric characteristics of microchannels and shear flow. As a typical structure, the influences of fluid parameters and symmetry differences in cross microchannels on the droplet generation process have not been fully studied. Therefore, this paper uses the lattice Boltzmann method to numerically simulate droplet generation in symmetric and asymmetric cross microchannels, thereby systematically analyzing the action mechanisms of capillary number, viscosity ratio, and microchannel symmetry. First, this study verifies the computational reliability of the numerical model through two classic cases, i.e. the droplet deformation under planar shear flow and stationary droplets on ideal solid surfaces. Then, this work focuses on studying the three flow stages in symmetric cross microchannels, i.e. interface immersion stage, shear-induced breakup stage, and the droplet migration and coalescence stage, and analyzes the synergistic mechanism of capillary number and viscosity ratio. In the symmetric cross microchannel structure, the capillary number is the main factor determining the droplet size in the cross microchannel. With the increase of the capillary number, the surface tension gradually weakens, causing the liquid bridge at the droplet neck to break more easily and generate droplets. In contrast, the effect of the viscosity ratio on the droplet size is relatively small, but it can suppress the generation of sub-droplets and improve the uniformity of droplets by adjusting the viscous resistance of the continuous phase. On this basis, this study further quantifies the influence of microchannel symmetry on the droplet generation process in cross microchannels. In the asymmetric cross microchannel structure, the microchannel deviation breaks the flow symmetry and weakens the cooperative shearing effect of the oil-phase fluid on the immersion structure of the water-phase fluid. When the microchannel deviates within the centerline range of the water-phase microchannel, the droplet size increases significantly with the increase of the microchannel deviation. This is mainly because the oil-phase fluid on the side far from the deviation first squeezes the immersion structure of the water-phase fluid, and then the oil-phase fluid near the deviation side exerts a secondary squeeze on the immersion structure, causing the neck liquid bridge of the immersion structure to continuously elongate and the shear position to shift along the microchannel deviation direction. When the microchannel deviation exceeds the centerline position of the water-phase microchannel, the interface fracture of the water-phase immersion structure mainly relies on the double squeezing effect of the oil-phase fluid and the surface tension of water-phase fluid, and the droplet size tends to be stable. The relevant research results lay a theoretical foundation for microchannel design and fluid parameter regulation in droplet microfluidics and thus further promote the application and development of droplet microfluidic technology.
2025, 74(13): 135201.
doi: 10.7498/aps.74.20250208
Abstract:
Packed bed dielectric barrier discharge (PB-DBD) is extremely popular in plasma catalysis applications, which can significantly improve the selectivity and energy efficiency of the catalytic processes. In order to achieve some complex chemical reactions, it is necessary to mix different materials in practical applications. In this work, by using the two-dimensional particle-in-cell/Monte Carlo collision (PIC/MCC) method, the discharge evolution in PB-DBD packed with two mixed dielectrics is numerically simulated to reveal the discharge characteristics. Due to the polarization of dielectric columns, the enhancement of electric field induces streamers at the bottom of the dielectric columns with high electrical permittivity (εr). The streamers propagate downward in the voids between the dielectric columns with low εr, which finally converts into volume discharges. Then, a new streamer forms near the upper dielectric plate and propagates downward along the void of the dielectric columns with high εr. Moreover, electron density between the columns with high εr is lower than that between the dielectric columns with low εr. In addition, the numbers of e,\begin{document}$ {\text{N}}_{2}^{+} $\end{document} , \begin{document}$ {\text{O}}_{2}^{+} $\end{document} and \begin{document}$ {\text{O}}_{2}^{-} $\end{document} present different profiles versus time. All of e, \begin{document}$ {\text{N}}_{2}^{+} $\end{document} and \begin{document}$ {\text{O}}_{2}^{+} $\end{document} increase in number before 0.8 ns. After 0.8 ns, the number of electrons decreases with time, while the numbers of \begin{document}$ {\text{N}}_{2}^{+} $\end{document} and \begin{document}$ {\text{O}}_{2}^{+} $\end{document} keep almost constant. In the whole process, the number of \begin{document}$ {\text{O}}_{2}^{-} $\end{document} keeps increasing with time increasing. The reason for the different temporal profiles can be analyzed as follows. The sum of electrons deposited on the dielectric and those lost in attachment reaction is greater than the number of electrons generated by ionization reaction, resulting in the declining trend of electrons. Comparatively, the deposition of \begin{document}$ {\text{N}}_{2}^{+} $\end{document} and \begin{document}$ {\text{O}}_{2}^{+} $\end{document} on the dielectric almost balances with their generation, leading to the constant numbers of \begin{document}$ {\text{N}}_{2}^{+} $\end{document} and \begin{document}$ {\text{O}}_{2}^{+} $\end{document} . In addition, the variation of averaged electron density (\begin{document}$ {\bar{n}}_{{\mathrm{e}}} $\end{document} ) and averaged electron temperature (\begin{document}$ {\bar{T}}_{{\mathrm{e}}} $\end{document} ) in the voids between the dielectric columns are also analyzed under different experimental parameters. Simulation results indicate that both of them decrease with pressure increasing or voltage amplitude falling. Moreover, they increase with dielectric column radius enlarging. In addition, \begin{document}$ {\bar{n}}_{{\mathrm{e}}} $\end{document} increases and then decreases with the increase of N2 content in the working gas, while \begin{document}$ {\bar{T}}_{{\mathrm{e}}} $\end{document} monotonically increases. The variations of \begin{document}$ {\bar{n}}_{{\mathrm{e}}} $\end{document} and \begin{document}$ {\bar{T}}_{{\mathrm{e}}} $\end{document} in the voids can be explained as follows. With the increase of pressure, the increase of collision frequency and the decrease of average free path lead to less energy obtained per unit time by electrons from the electric field, resulting in the decreasing of \begin{document}$ {\bar{T}}_{{\mathrm{e}}} $\end{document} . Moreover, the first Townsend ionization coefficient decreases with the reduction in \begin{document}$ {\bar{T}}_{{\mathrm{e}}} $\end{document} , resulting in less electrons produced per unit time. Hence, both \begin{document}$ {\bar{n}}_{{\mathrm{e}}} $\end{document} and \begin{document}$ {\bar{T}}_{{\mathrm{e}}} $\end{document} decrease with pressure increasing. Additionally, \begin{document}$ {\bar{T}}_{{\mathrm{e}}} $\end{document} is mainly determined by electric field strength. Therefore, the rising voltage amplitude results in the increase of and \begin{document}$ {\bar{T}}_{{\mathrm{e}}} $\end{document} . Based on the same reason for pressure, \begin{document}$ {\bar{n}}_{{\mathrm{e}}} $\end{document} also increases with the augment of voltage amplitude. Consequently, both \begin{document}$ {\bar{n}}_{{\mathrm{e}}} $\end{document} and \begin{document}$ {\bar{T}}_{{\mathrm{e}}} $\end{document} increase with voltage amplitude increasing. In addition, the surface area of dielectric columns increases with dielectric column radius enlarging. Therefore, more polarized charges are induced on the inner surface of the dielectric column, inducing a stronger electric field outside. Accordingly, the enlarging of dielectric column radius leads \begin{document}$ {\bar{n}}_{{\mathrm{e}}} $\end{document} and \begin{document}$ {\bar{T}}_{{\mathrm{e}}} $\end{document} to increase. Moreover, the variation of \begin{document}$ {\bar{n}}_{{\mathrm{e}}} $\end{document} with N2 content is analyzed from the ionization rate, and that of \begin{document}$ {\bar{T}}_{{\mathrm{e}}} $\end{document} is obtained by analyzing the ionization thresholds of N2 and O2.
Packed bed dielectric barrier discharge (PB-DBD) is extremely popular in plasma catalysis applications, which can significantly improve the selectivity and energy efficiency of the catalytic processes. In order to achieve some complex chemical reactions, it is necessary to mix different materials in practical applications. In this work, by using the two-dimensional particle-in-cell/Monte Carlo collision (PIC/MCC) method, the discharge evolution in PB-DBD packed with two mixed dielectrics is numerically simulated to reveal the discharge characteristics. Due to the polarization of dielectric columns, the enhancement of electric field induces streamers at the bottom of the dielectric columns with high electrical permittivity (εr). The streamers propagate downward in the voids between the dielectric columns with low εr, which finally converts into volume discharges. Then, a new streamer forms near the upper dielectric plate and propagates downward along the void of the dielectric columns with high εr. Moreover, electron density between the columns with high εr is lower than that between the dielectric columns with low εr. In addition, the numbers of e,
2025, 74(13): 135202.
doi: 10.7498/aps.74.20250144
Abstract:
The interaction of a high-intensity laser with a solid target generates a large number of hot electrons. When these hot electrons are transported in the target material, X-rays, including Kα line and bremsstrahlung emissions are produced. The contrast of Kα line emission, i.e. the intensity of Kα line relative to the intensity of bremsstrahlung continua around the Kα line, depends on the anisotropy of the bremsstrahlung emission and is related to the energy and transportation of the hot electrons. In the past, some researchers used axial or annular magnetic fields to collimate hot electrons, but whether these magnetic fields can enhance the contrast of Kα emission has not been studied. In the present work, the effect of an axially uniform magnetic field or an annular magnetic field with a Gaussian distribution on the contrast of Cu Kα emission is investigated by Monte Carlo simulations. The simulation results and analysis show that the axially uniform magnetic field cannot strengthen the anisotropy of bremsstrahlung emission, so it cannot enhance the contrast of Kα emission efficiently. For the annular magnetic field with a Gaussian distribution, when an electron beam with a Boltzmann energy distribution is incident, due to the weak anisotropy of bremsstrahlung emission by low-energy electrons in the electron beam, the increase of Kα emission contrast is small. When an electron beam with a Boltzmann energy distribution, in which the low-energy part is cut off, or a mono-energetic electron beam is incident, the annular magnetic field with a Gaussian distribution significantly enhances the contrast of Kα emission in the back direction of the electron beam incidence. For an incident electron beam with an energy value in a range of 200–1000 keV, an annular magnetic field with a Gaussian distribution and a peak value of approximately 100 T is optimal for enhancing the contrast of Kα emission. Considering the existing experiments on generating annular magnetic fields and non-Boltzmann energy distribution hot electrons, it is possible to generate higher contrast Kα emissions with the enhancement of magnetic field in future experiments.
The interaction of a high-intensity laser with a solid target generates a large number of hot electrons. When these hot electrons are transported in the target material, X-rays, including Kα line and bremsstrahlung emissions are produced. The contrast of Kα line emission, i.e. the intensity of Kα line relative to the intensity of bremsstrahlung continua around the Kα line, depends on the anisotropy of the bremsstrahlung emission and is related to the energy and transportation of the hot electrons. In the past, some researchers used axial or annular magnetic fields to collimate hot electrons, but whether these magnetic fields can enhance the contrast of Kα emission has not been studied. In the present work, the effect of an axially uniform magnetic field or an annular magnetic field with a Gaussian distribution on the contrast of Cu Kα emission is investigated by Monte Carlo simulations. The simulation results and analysis show that the axially uniform magnetic field cannot strengthen the anisotropy of bremsstrahlung emission, so it cannot enhance the contrast of Kα emission efficiently. For the annular magnetic field with a Gaussian distribution, when an electron beam with a Boltzmann energy distribution is incident, due to the weak anisotropy of bremsstrahlung emission by low-energy electrons in the electron beam, the increase of Kα emission contrast is small. When an electron beam with a Boltzmann energy distribution, in which the low-energy part is cut off, or a mono-energetic electron beam is incident, the annular magnetic field with a Gaussian distribution significantly enhances the contrast of Kα emission in the back direction of the electron beam incidence. For an incident electron beam with an energy value in a range of 200–1000 keV, an annular magnetic field with a Gaussian distribution and a peak value of approximately 100 T is optimal for enhancing the contrast of Kα emission. Considering the existing experiments on generating annular magnetic fields and non-Boltzmann energy distribution hot electrons, it is possible to generate higher contrast Kα emissions with the enhancement of magnetic field in future experiments.
2025, 74(13): 135203.
doi: 10.7498/aps.74.20250341
Abstract:
In recent years, capacitively coupled plasmas driven by ultra-low frequency source have received increasing attention, because they are beneficial to generating ions with high energy and small scattering angle, which aligns well with the current trend in high aspect ratio etching. Since the sheath becomes thicker when an ultra-low frequency source is applied, the secondary electron emission becomes significant. Indeed, these energetic secondary electrons can enhance the ionization process and even affect the discharge mode. In this work, a two-dimensional fluid model is employed to study the influence of secondary electrons on the dual-frequency capacitively coupled plasma under different ultra-low frequency voltages, secondary electron emission coefficients and inter-electrode gaps. The high frequency is fixed at 13.6 MHz, and the ultra-low frequency is fixed at 400 kHz. First, by using the ion energy dependent secondary electron emission coefficient, it is shown that the electron density first decreases and then increases with ultra-low frequency voltage rising. This is because, on the one hand, the higher ultra-low frequency voltage leads to thicker sheath, and therefore, the effective discharge volume is compressed. On the other hand, secondary electrons emitted from electrodes can obtain more energy, thus enhancing the ionization process. By comparing with the results obtained with a fixed secondary electron emission coefficient, it is found that in the low voltage range, the evolution of the electron density is similar to that with a fixed coefficient of 0.1. While, in the high voltage range, the growth of the electron density is even more pronounced than that with a fixed coefficient of 0.2, indicating that the enhancement of the secondary electron effect by ultra-low frequency voltage is non-linear. Finally, the influence of discharge gap on the plasma properties is also discussed. It is shown that with the inter-electrode gap increasing from 2 to 4 cm, the maximum ionization rate becomes lower, but the electron density rises significantly, and the plasma radial uniformity is improved. When inter-electrode gap is large, secondary electrons can completely collide with neutral species, so their influence on the electron density at high ultra-low frequency voltage is more significant. The results obtained in this study contribute to understanding the influence of ultra-low frequency source on the secondary electron effect, and provide some guidance for optimizing plasma processing.
In recent years, capacitively coupled plasmas driven by ultra-low frequency source have received increasing attention, because they are beneficial to generating ions with high energy and small scattering angle, which aligns well with the current trend in high aspect ratio etching. Since the sheath becomes thicker when an ultra-low frequency source is applied, the secondary electron emission becomes significant. Indeed, these energetic secondary electrons can enhance the ionization process and even affect the discharge mode. In this work, a two-dimensional fluid model is employed to study the influence of secondary electrons on the dual-frequency capacitively coupled plasma under different ultra-low frequency voltages, secondary electron emission coefficients and inter-electrode gaps. The high frequency is fixed at 13.6 MHz, and the ultra-low frequency is fixed at 400 kHz. First, by using the ion energy dependent secondary electron emission coefficient, it is shown that the electron density first decreases and then increases with ultra-low frequency voltage rising. This is because, on the one hand, the higher ultra-low frequency voltage leads to thicker sheath, and therefore, the effective discharge volume is compressed. On the other hand, secondary electrons emitted from electrodes can obtain more energy, thus enhancing the ionization process. By comparing with the results obtained with a fixed secondary electron emission coefficient, it is found that in the low voltage range, the evolution of the electron density is similar to that with a fixed coefficient of 0.1. While, in the high voltage range, the growth of the electron density is even more pronounced than that with a fixed coefficient of 0.2, indicating that the enhancement of the secondary electron effect by ultra-low frequency voltage is non-linear. Finally, the influence of discharge gap on the plasma properties is also discussed. It is shown that with the inter-electrode gap increasing from 2 to 4 cm, the maximum ionization rate becomes lower, but the electron density rises significantly, and the plasma radial uniformity is improved. When inter-electrode gap is large, secondary electrons can completely collide with neutral species, so their influence on the electron density at high ultra-low frequency voltage is more significant. The results obtained in this study contribute to understanding the influence of ultra-low frequency source on the secondary electron effect, and provide some guidance for optimizing plasma processing.
2025, 74(13): 135204.
doi: 10.7498/aps.74.20250450
Abstract:
Circular cross-section plasma is the most basic form of tokamak plasma and the fundamental configuration for magnetic confinement fusion experiments. Based on the HL-2A limiter discharge experiments, the magnetohydrodynamic (MHD) equilibrium and MHD instability of circular cross-section tokamak plasmas are investigated in this work. The results show that when\begin{document}$ {q}_{0}=0.95 $\end{document} , the internal kink mode of \begin{document}$ m/n=1/1 $\end{document} is always unstable. The increase in plasma \begin{document}$ \beta $\end{document} (the ratio of thermal pressure to magnetic pressure) can lead to the appearance of external kink modes. The combination of axial safety factor \begin{document}$ {q}_{0} $\end{document} and edge safety factor \begin{document}$ {q}_{{\mathrm{a}}} $\end{document} determines the equilibrium configuration of the plasma and also affects the MHD stability of the equilibrium, but its growth rate is also related to the size of \begin{document}$ \beta $\end{document} . Under the condition of \begin{document}$ {q}_{{\mathrm{a}}} > 2 $\end{document} and \begin{document}$ {q}_{0} $\end{document} slightly greater than 1, the internal kink mode and surface kink mode can be easily stabilized. However the plasma becomes unstable again and the instability intensity increases as \begin{document}$ {q}_{0} $\end{document} continues to increase when \begin{document}$ {q}_{0} $\end{document} exceeds \begin{document}$ 1 $\end{document} . As the poloidal specific pressure (\begin{document}$ {\beta }_{{\mathrm{p}}} $\end{document} ) increases, the MHD instability develops, the equilibrium configuration of MHD elongates laterally, and the Shafranov displacement increases, which in turn has the effect on suppressing instability. Calculations have shown that the maximum \begin{document}$ \beta $\end{document} value imposed by the ideal MHD mode in a plasma with free boundary in tokamak experiments is proportional to the normalized current \begin{document}$ {I}_{{\mathrm{N}}} $\end{document} (\begin{document}$ {I}_{{\mathrm{N}}}={I}_{{\mathrm{p}}}\left({\mathrm{M}}{\mathrm{A}}\right)/a\left({\mathrm{m}}\right){B}_{0}\left({\mathrm{T}}\right) $\end{document} ), and the maximum specific pressure \begin{document}$ \beta \left({\mathrm{m}}{\mathrm{a}}{\mathrm{x}}\right) $\end{document} is calibrated to be \begin{document}$ ~2.01{I}_{{\mathrm{N}}},{\mathrm{ }}{\mathrm{i}}. {\mathrm{e}}. $\end{document} \begin{document}$ \beta \left({\mathrm{m}}{\mathrm{a}}{\mathrm{x}}\right)\sim 2.01{I}_{{\mathrm{N}}} $\end{document} . The operational \begin{document}$ \beta $\end{document} limit of HL-2A circular cross-section plasma is approximately \begin{document}$ {\beta }_{{\mathrm{N}}}^{{\mathrm{c}}}\approx 2.0 $\end{document} . Too high a value of \begin{document}$ {q}_{0} $\end{document} is not conducive to MHD stability and leads the \begin{document}$ \beta $\end{document} limit value to decrease. When \begin{document}$ {q}_{0}=1.3 $\end{document} , we obtain a maximum value of \begin{document}$ {\beta }_{{\mathrm{N}}} $\end{document} of approximately \begin{document}$ 1.8 $\end{document} . Finally, based on the existing circular cross-section plasma, some key factors affecting the operational \begin{document}$ \beta $\end{document} and the relationship between the achievable high \begin{document}$ \beta $\end{document} limit and the calculated ideal \begin{document}$ \beta $\end{document} limit are discussed.
Circular cross-section plasma is the most basic form of tokamak plasma and the fundamental configuration for magnetic confinement fusion experiments. Based on the HL-2A limiter discharge experiments, the magnetohydrodynamic (MHD) equilibrium and MHD instability of circular cross-section tokamak plasmas are investigated in this work. The results show that when
2025, 74(13): 135205.
doi: 10.7498/aps.74.20250381
Abstract:
The SOLPS-ITER edge plasma simulation code has become a primary tool for designing divertor physics and predicting target plate heat load in fusion research. However, SOLPS-ITER-based divertor design requires not only substantial computational time but also intensive hardware resources, which fundamentally limits its application in advancing divertor optimization, particularly in large-scale fusion reactor divertor design. In this work, the machine learning method is used for the first time to predict the plasma parameters of the divertor target plate for HL-3, which provides a theoretical basis for predicting the heat load of divertor in large fusion reactor in the future. Based on the simulation of the edge plasma code SOLPS-ITER, we first build a database of HL-3 edge plasma parameters, including the upstream inner/outer midplane region and divertor target region. Then, we use the machine learning method and combine with the database to develop an artificial neural network model. Finally, the artificial neural network is used to train a model by using the boundary plasma parameters of the HL-3 device, and the heat load of the divertor target plate is predicted by the given upstream plasma parameters. This work can effectively shorten the time of simulating edge plasma by SOLPS-ITER code from weeks, months or even half a year to several milliseconds. In this work, a multi-layer perceptron (MLP) model is established with different input parameters to predict the electron temperature, density, and parallel heat fluxes of the inner and outer divertor target plates. It is found that reasonably increasing upstream plasma parameters as inputs to the model can not only improve the model’s generalization ability and the accuracy of prediction (both reaching over 90%), but also verify the correlation between upstream plasma parameters and divertor target physical quantities. In addition, a more stable ResMLP model is established on the basis of MLP. This work demonstrates the feasibility of using the neural networks to predict the heat load of the divertor target plate.
2025, 74(13): 135206.
doi: 10.7498/aps.74.20250384
Abstract:
Controlling of tungsten (W) impurity core accumulation is of great significance for the steady-state operation of tokamaks. This work mainly investigates the effect of neoclassical transport on the core accumulation of W impurities by using STRAHL code. The study focuses on the HL-3 device, which will use tungsten divertor and conduct research under argon gas injection discharge conditions. In the simulation, the edge and core background plasma parameters are obtained by SOLPS-ITER and OMFIT simulations, respectively. The distribution of tungsten impurities in the boundary region is simulated using the IMPEDGE code. The edge anomalous transport coefficient in STRAHL is adjusted accordingly, and the simulation results are compared with those from the IMPEDGE to ensure consistency in impurity distribution between the core and edge. In the core region, a numerical scan is performed to adjust the simulation results so that the energy radiation matches the setting values, thereby determining the specific turbulence convection velocity. By setting the coefficients for both the core region and the boundary region, a complete distribution of W impurities from boundary to the core is obtained. To account for the neoclassical transport effects, the neoclassical transport coefficients are calculated using the subroutine NEOART and applied to the impurity transport simulation, and the simulation region is set from\begin{document}$ \rho =0 $\end{document} to 0.9. On this basis, the transport of W impurities with and without neoclassical convection is simulated. The simulation results show that without neoclassical convection, anomalous transport dominates the impurity transport, which is inward and enhances impurity accumulation in the core, and the core impurity density reaches \begin{document}$ 1.1\times {10}^{16}\;{{\mathrm{m}}}^{-3} $\end{document} . After introducing neoclassical convection which is outward, it can offset the inward anomalous convection and significantly reduces the W impurity density in the core, thereby significantly reducing the core tungsten impurity density to \begin{document}$ 4.0\times {10}^{15}\;{{\mathrm{m}}}^{-3} $\end{document} . In addition, the neoclassical convection in the region of \begin{document}$ \rho$\end{document} = 0.72–0.90 plays a more important role in reducing the core impurity density. Further analysis of the components of neoclassical convection shows that the Pfirsche-Schlüter (PS) component dominates the neoclassical convection term, which is mainly driven by the ion temperature gradient term. Therefore, experimentally, plasma heating can be used to enhance the temperature gradient and suppress impurity core accumulation.
Controlling of tungsten (W) impurity core accumulation is of great significance for the steady-state operation of tokamaks. This work mainly investigates the effect of neoclassical transport on the core accumulation of W impurities by using STRAHL code. The study focuses on the HL-3 device, which will use tungsten divertor and conduct research under argon gas injection discharge conditions. In the simulation, the edge and core background plasma parameters are obtained by SOLPS-ITER and OMFIT simulations, respectively. The distribution of tungsten impurities in the boundary region is simulated using the IMPEDGE code. The edge anomalous transport coefficient in STRAHL is adjusted accordingly, and the simulation results are compared with those from the IMPEDGE to ensure consistency in impurity distribution between the core and edge. In the core region, a numerical scan is performed to adjust the simulation results so that the energy radiation matches the setting values, thereby determining the specific turbulence convection velocity. By setting the coefficients for both the core region and the boundary region, a complete distribution of W impurities from boundary to the core is obtained. To account for the neoclassical transport effects, the neoclassical transport coefficients are calculated using the subroutine NEOART and applied to the impurity transport simulation, and the simulation region is set from
TDOA/DOA hybrid location method of partial discharge combined with blind signal separation algorithm
2025, 74(13): 135207.
doi: 10.7498/aps.74.20250317
Abstract:
To address the technical bottleneck of decoupling spatiotemporal feature, high hardware costs, and high computational complexity in ultrasonic detection of partial discharge (PD) in electrical equipment, this paper proposes a TDOA/DOA hybrid localization method based on kernel principal component analysis (KPCA) and modified noncircular FastICA (mnc-FastICA). By integrating spatiotemporal feature extraction with intelligent optimization mechanisms, this method achieves high-precision localization by using a small-scale sensor array. The key innovations are as follows. First, a KPCA-assisted pseudo-whitening preprocessing framework is constructed by using polynomial kernel mapping for nonlinear signal dimensionality reduction, which preserves the correlation between time delay (TDOA) and direction-of-arrival (DOA) features while suppressing environmental noise. Second, after the blind separation of ultrasonic signals via the mnc-FastICA algorithm, TDOA/DOA parameters are synchronously extracted through a combination of the generalized cross-correlation (GCC) method and array manifold analysis. Finally, a maximum likelihood estimation model integrating dual parameters is established, and the African vulture optimization algorithm (AVOA) is introduced to accelerate global optimal solution convergence. Experimental results demonstrate that with a compact hardware configuration of two orthogonal arrays (8 sensors in total), the proposed method achieves a TDOA estimation error of 2.34%, DOA estimation accuracy better than 2°, and localization errors as low as 1.54 cm. This approach effectively resolves the discrepancies among spatiotemporal feature coupling, hardware cost, and localization accuracy in PD detection, providing a novel solution for condition monitoring of electrical equipment.
To address the technical bottleneck of decoupling spatiotemporal feature, high hardware costs, and high computational complexity in ultrasonic detection of partial discharge (PD) in electrical equipment, this paper proposes a TDOA/DOA hybrid localization method based on kernel principal component analysis (KPCA) and modified noncircular FastICA (mnc-FastICA). By integrating spatiotemporal feature extraction with intelligent optimization mechanisms, this method achieves high-precision localization by using a small-scale sensor array. The key innovations are as follows. First, a KPCA-assisted pseudo-whitening preprocessing framework is constructed by using polynomial kernel mapping for nonlinear signal dimensionality reduction, which preserves the correlation between time delay (TDOA) and direction-of-arrival (DOA) features while suppressing environmental noise. Second, after the blind separation of ultrasonic signals via the mnc-FastICA algorithm, TDOA/DOA parameters are synchronously extracted through a combination of the generalized cross-correlation (GCC) method and array manifold analysis. Finally, a maximum likelihood estimation model integrating dual parameters is established, and the African vulture optimization algorithm (AVOA) is introduced to accelerate global optimal solution convergence. Experimental results demonstrate that with a compact hardware configuration of two orthogonal arrays (8 sensors in total), the proposed method achieves a TDOA estimation error of 2.34%, DOA estimation accuracy better than 2°, and localization errors as low as 1.54 cm. This approach effectively resolves the discrepancies among spatiotemporal feature coupling, hardware cost, and localization accuracy in PD detection, providing a novel solution for condition monitoring of electrical equipment.
2025, 74(13): 135208.
doi: 10.7498/aps.74.20250279
Abstract:
Large-area capacitively coupled discharges are widely used in plasma enhanced chemical vapor deposition (PECVD) processes for solar cell and display manufacturing. With the increase of the chamber size and driving frequency for improving production efficiency, the non-uniformity of deposited film induced by standing wave effects becomes more serious, which deserves more attention and in-depth research. Based on a fluid model coupled with a transmission line model, the potential amplitude distribution on the powered 2 m2 electrode and the plasma characteristics in a capacitive plasma sustained in a silane/hydrogen discharge driven at 27.12 MHz are investigated. This work identifies three key control parameters: pressure, silane content, and input power, with particular emphasis on radial wave attenuation caused by electron-neutral elastic collisions. The simulation results are validated by industrial experimental results, confirming the relationship between the distributions of potential amplitude on the powered electrode and the film thickness. Two different mechanisms emerge from the analysis. Under the conditions of low silane content and high power, the surface wave radial attenuation is not significant and the surface wave wavelength variations dominate the potential amplitude distribution on the powered electrode. Conversely, in the case of high silane content and low power, significant radial attenuation of the surface wave leads to the noticeable weakening of the standing wave effect due to higher electron-neutral collision frequency. Neglecting the radial attenuation of the surface wave will result in significant deviations in the potential amplitude distribution on the powered electrode as shown in the following figure. Strategies such as adjusting power input positions or using multiple power input are studied to improve uniformity, but the improvements are still limited. Although it requires strict parameter control and machining precision, the shaped electrode demonstrates remarkable uniformity improvement of the potential distribution. In the future work, it is necessary to further analyze the influence of the standing wave effects on the radial distributions of electron, ions, and neutral radicals under complex conditions, such as different chamber structures, gas flows, and temperature distributions, as well as the influence on the quality of deposited films. This will enable a more comprehensive and accurate study of standing wave effects, providing support and guidance for solving real industrial problems.
2025, 74(13): 136102.
doi: 10.7498/aps.74.20250378
Abstract:
Three-dimensional (3D) graphene materials have excellent electronic emission performance and mechanical stability, showing significant advantages in the field of high current density field emitters. In this study, copper oxide modified three-dimensional graphene composites (LIG/CuO) are prepared in situ by a femtosecond laser one-step method, which realizes the simultaneous regulation of cork carbonization and copper oxidation. Shallow copper-rich precursors are constructed by copper salt infiltration and ascorbic acid reduction. Laser irradiation is used to synchronously induce the carbonization of cellulose into few-layer graphene and the transformation of Cu into CuO, forming a three-dimensional fiber network of microcrystalline graphene coated with CuO nanoparticles (30–80 nm). The structure exhibits excellent field emission performance: the threshold field of preparing pure laser- induced graphene (LIG) is ~2.12 V/μm and the field enhancement factor is ~8223. After optimizing CuO loading, the threshold field of LIG/CuO-5 is reduced to 1.57 V/μm, the field enhancement factor rises up to ~8823, and the ultra-high current density of 22.71 mA/cm2 is achieved at 2.89 V/μm. The density functional theory (DFT) calculations show that the electrons at the heterojunction interface transfer from CuO to graphene, which reduces the work function of graphene from 4.833 eV to 4.677 eV, and the band bending of CuO surface synergistically reduces the tunneling barrier. In addition, the local electric field enhancement effect of CuO nanoparticles and the optimized distribution density synergistically increase the effective emission point density. The performance improvement is mainly attributed to three synergistic effects: 1) the three-dimensional porous graphene network provides abundant tip emission sites; 2) the introduction of CuO nanoparticles reduces the work function of the composite material from 4.833 eV to 4.667 eV, effectively reducing the electron escape barrier; 3) the heterojunction interface forms a directional electron migration channel under a positive bias electric field, combined with the excellent conductivity of LIG, which significantly improves the electron tunneling efficiency.
Three-dimensional (3D) graphene materials have excellent electronic emission performance and mechanical stability, showing significant advantages in the field of high current density field emitters. In this study, copper oxide modified three-dimensional graphene composites (LIG/CuO) are prepared in situ by a femtosecond laser one-step method, which realizes the simultaneous regulation of cork carbonization and copper oxidation. Shallow copper-rich precursors are constructed by copper salt infiltration and ascorbic acid reduction. Laser irradiation is used to synchronously induce the carbonization of cellulose into few-layer graphene and the transformation of Cu into CuO, forming a three-dimensional fiber network of microcrystalline graphene coated with CuO nanoparticles (30–80 nm). The structure exhibits excellent field emission performance: the threshold field of preparing pure laser- induced graphene (LIG) is ~2.12 V/μm and the field enhancement factor is ~8223. After optimizing CuO loading, the threshold field of LIG/CuO-5 is reduced to 1.57 V/μm, the field enhancement factor rises up to ~8823, and the ultra-high current density of 22.71 mA/cm2 is achieved at 2.89 V/μm. The density functional theory (DFT) calculations show that the electrons at the heterojunction interface transfer from CuO to graphene, which reduces the work function of graphene from 4.833 eV to 4.677 eV, and the band bending of CuO surface synergistically reduces the tunneling barrier. In addition, the local electric field enhancement effect of CuO nanoparticles and the optimized distribution density synergistically increase the effective emission point density. The performance improvement is mainly attributed to three synergistic effects: 1) the three-dimensional porous graphene network provides abundant tip emission sites; 2) the introduction of CuO nanoparticles reduces the work function of the composite material from 4.833 eV to 4.667 eV, effectively reducing the electron escape barrier; 3) the heterojunction interface forms a directional electron migration channel under a positive bias electric field, combined with the excellent conductivity of LIG, which significantly improves the electron tunneling efficiency.
2025, 74(13): 136801.
doi: 10.7498/aps.74.20250357
Abstract:
Directional solidification technology artificially controls the propagation rate at the solid-liquid interface to promote the development of the metal microstructure in the expected direction. In the process, the solid-liquid interface will produce complex and diverse microstructures, of which cellular crystal and dendritic structure are typical microstructures in the interface formation process, which have a direct influence on the quality and properties of the final material. Based on the fact that the far-field flow is not strongly affected by local perturbations and has the characteristics of relative stability and homogeneity, a mathematical model including the temperature field, the concentration field and the far field flow is established in this work. According to the interfacial wave theory, a finger coordinate system is constructed using the constant solution of cellular crystal growth as the ground state, and fast variables are introduced for variable replacement using multivariate expansion method and matched asymptotic expansion method used to introduce. The eigenvalue problem of linear perturbation dynamics in the case of far-field flow is solved, and the dispersion relation of the change rate of the perturbation amplitude at the interface of the cellular crystal and the quantization condition of the interface morphology are derived. The stability of the growth of deep cellular crystal in directional solidification under the action of far-field flow is analyzed. and the basis for judging the critical stability of the deep cellular crystal growth is established. The effect of far-field flow on the size of the unstable region is revealed. The results show that in the directional solidification considering the far-field flow, there are two overall instability mechanisms for the interfacial morphology of the growth of deep cellular crystal: the global oscillatory instability (GTW-mode) and the low-frequency instability (IF-mode). The system allows of the symmetric S-mode and the antisymmetric A-mode. The stability analysis shows the following points: the interfacial stability of deep cellular crystal depends on the critical stability parameter; if the interfacial stability parameter of deep cellular crystal is larger than the critical stability parameter, the growth of deep cellular crystal is stable; if it is smaller than the critical stability parameter, the growth of deep cellular crystal is unstable, whereas the critical stability parameter decreases with the enhancement of the flow intensity. Under the influence of far field flow, for the same index n, the growth rate of the GTW-S mode is much greater than that of the GTW-A mode, which is said to be more dangerous than the GTW-A mode, and the n = 0 case in the GTW-S mode is the most dangerous oscillation mode with the largest unstable region. In addition, as the flow intensity Gu increases, the stable region of the overall oscillatory instability of the dendritic structure, where the neutral mode generates strong oscillations, also becomes larger.
2025, 74(13): 137103.
doi: 10.7498/aps.74.20241571
Abstract:
Amorphous gallium oxide (a-GaOx) exhibits excellent electrical conductivity, a wide bandgap, high breakdown field strength, high visible light transmittance, high sensitivity to specific ultraviolet wavelengths, low preparation temperatures, relatively simple processing, wide substrate applicability, and ease of obtaining high-quality thin films. These attributes make it a suitable candidate for applications in transparent electronic devices, ultraviolet detectors, high-power devices, and gas sensors. Presently, the research on a-GaOx remains limited, focusing primarily on films with an O/Ga ratio less than or equal to 1.5. Increasing the concentration of oxygen vacancies to enhance the conductivity of the material often leads to a reduction in its bandgap, which is undesirable for high-power applications. Variations in O/Ga in the films can affect the formation of chemical bonds and significantly influence the band structure. In this study, five groups of a-GaOx thin films with high oxygen-to-gallium ratios are successfully fabricated by increasing the gas flow rate at low sputtering power. The elemental compositions of the films are analyzed using energy dispersive spectroscopy (EDS), revealing the O/Ga ratio gradually decreasing from 3.89 to 3.39. Phase analysis by using X-ray diffraction (XRD) confirms the amorphous nature of the films. Optical properties are characterized using an ultraviolet-visible spectrophotometer (UV-Vis), indicating that the optical bandgap and the density of localized states gradually increase. X-ray photoelectron spectroscopy (XPS) is utilized to analyze the elemental compositions, chemical states, and valence band structures of the films, showing that the valence band maximum decreases and the content of Ga2O within the material increases. Subsequently, Au/a-GaOx/Ti/Au Schottky devices are fabricated under the same processing conditions. The I-V characteristics of these devices are measured using a Keithley 4200, revealing changes in the electron transport mechanism at the metal-semiconductor (MS) interface, with the gradual increase in electron affinity calculated. C-V characteristics are measured using a Keithley 590, and the donor concentration (density of localized states) at the interface is calculated to gradually increase. In summary, by controlling appropriate process parameters, it is possible to improve the conductivity of electronic devices while increasing the bandgap of a-GaOx, which is significant for high-power applications.
Amorphous gallium oxide (a-GaOx) exhibits excellent electrical conductivity, a wide bandgap, high breakdown field strength, high visible light transmittance, high sensitivity to specific ultraviolet wavelengths, low preparation temperatures, relatively simple processing, wide substrate applicability, and ease of obtaining high-quality thin films. These attributes make it a suitable candidate for applications in transparent electronic devices, ultraviolet detectors, high-power devices, and gas sensors. Presently, the research on a-GaOx remains limited, focusing primarily on films with an O/Ga ratio less than or equal to 1.5. Increasing the concentration of oxygen vacancies to enhance the conductivity of the material often leads to a reduction in its bandgap, which is undesirable for high-power applications. Variations in O/Ga in the films can affect the formation of chemical bonds and significantly influence the band structure. In this study, five groups of a-GaOx thin films with high oxygen-to-gallium ratios are successfully fabricated by increasing the gas flow rate at low sputtering power. The elemental compositions of the films are analyzed using energy dispersive spectroscopy (EDS), revealing the O/Ga ratio gradually decreasing from 3.89 to 3.39. Phase analysis by using X-ray diffraction (XRD) confirms the amorphous nature of the films. Optical properties are characterized using an ultraviolet-visible spectrophotometer (UV-Vis), indicating that the optical bandgap and the density of localized states gradually increase. X-ray photoelectron spectroscopy (XPS) is utilized to analyze the elemental compositions, chemical states, and valence band structures of the films, showing that the valence band maximum decreases and the content of Ga2O within the material increases. Subsequently, Au/a-GaOx/Ti/Au Schottky devices are fabricated under the same processing conditions. The I-V characteristics of these devices are measured using a Keithley 4200, revealing changes in the electron transport mechanism at the metal-semiconductor (MS) interface, with the gradual increase in electron affinity calculated. C-V characteristics are measured using a Keithley 590, and the donor concentration (density of localized states) at the interface is calculated to gradually increase. In summary, by controlling appropriate process parameters, it is possible to improve the conductivity of electronic devices while increasing the bandgap of a-GaOx, which is significant for high-power applications.
2025, 74(13): 137201.
doi: 10.7498/aps.74.20250248
Abstract:
The deep charge-discharge effect in dielectrics induced by high-energy electrons is a major cause of spacecraft anomalies and failures in geosynchronous orbit (GEO) and medium earth orbit (MEO). To evaluate the in-orbit deep charging and discharging behavior of satellite dielectric materials, ground-based simulation testing is essential. However, due to limitations in ground test conditions, it is necessary to conduct a comprehensive analysis of the effectiveness of such evaluations. This paper introduces the key physical model of deep dielectric charging, taking a grounded planar dielectric with an irradiated inner surface as a representative case to analyze the internal charging process and the evolution of critical physical quantities governing deep charging phenomena. In this study, the DICTAT simulation tool is used to investigate the charging effects of three distinct electron sources: strontium-90 decay electrons, monoenergetic electron beams, and GEO ambient electrons. In ground-based simulations, researchers typically use monoenergetic or continuous-spectrum electron beams with flux intensities on the order of pA·cm–2 to irradiate test specimens with varying shielding configurations, dielectric thicknesses, and material compositions, aiming to replicate in-situ deep charging phenomena and assess associated risks. Therefore, the simulations are conducted under electron flux levels representative of GEO orbital conditions. This study focuses on polytetrafluoroethylene (PTFE) dielectric samples under three typical spacecraft shielding configurations: 1) externally mounted on the cabin surface, 2) housed inside the pressurized cabin, and 3) embedded within standalone electronic subsystems, while systematically incorporating variations in dielectric thickness. The results show that the disparity between the electron flux deposited within the dielectric bulk and the flux at dielectric interfaces critically governs the severity of charging under varying irradiation conditions. Two key findings emerge as follows. 1) Discrepancies in electron energy spectra and their influence: the differences in energy spectra between the test electron source and the actual space environment lead to variations in deposited electron flux across different aluminum shielding thicknesses and dielectric depths. This discrepancy influences the equilibrium charging state by changing the current density and conductivity in sub-region-n (the dielectric-ground interface), potentially resulting in either underestimation or overestimation of deep charging effects compared with true space conditions. 2) Effectiveness of different electron sources for simulation: strontium-based sources (e.g. Sr-90 β-decay spectra) effectively replicate the internal charging behavior of Teflon (PTFE) materials on cabin exteriors and inside pressurized compartments under GEO-like electron flux conditions. 0.5 MeV monoenergetic electron beams are suitable for simulating surface dielectric charging on cabin exteriors. However, higher-energy monoenergetic beams exhibit limited applicability at varying dielectric thicknesses. Despite the similar flux intensity used in the tests compared with that in the actual space environment, the differences in energy distribution between the test beams and space electrons can lead to underestimation or overestimation of the charging effects. Based on the simulation results, this work provides recommendations for selecting appropriate test beam parameters under different shielding conditions to improve the accuracy of ground-based evaluations of in-orbit deep dielectric charging.
The deep charge-discharge effect in dielectrics induced by high-energy electrons is a major cause of spacecraft anomalies and failures in geosynchronous orbit (GEO) and medium earth orbit (MEO). To evaluate the in-orbit deep charging and discharging behavior of satellite dielectric materials, ground-based simulation testing is essential. However, due to limitations in ground test conditions, it is necessary to conduct a comprehensive analysis of the effectiveness of such evaluations. This paper introduces the key physical model of deep dielectric charging, taking a grounded planar dielectric with an irradiated inner surface as a representative case to analyze the internal charging process and the evolution of critical physical quantities governing deep charging phenomena. In this study, the DICTAT simulation tool is used to investigate the charging effects of three distinct electron sources: strontium-90 decay electrons, monoenergetic electron beams, and GEO ambient electrons. In ground-based simulations, researchers typically use monoenergetic or continuous-spectrum electron beams with flux intensities on the order of pA·cm–2 to irradiate test specimens with varying shielding configurations, dielectric thicknesses, and material compositions, aiming to replicate in-situ deep charging phenomena and assess associated risks. Therefore, the simulations are conducted under electron flux levels representative of GEO orbital conditions. This study focuses on polytetrafluoroethylene (PTFE) dielectric samples under three typical spacecraft shielding configurations: 1) externally mounted on the cabin surface, 2) housed inside the pressurized cabin, and 3) embedded within standalone electronic subsystems, while systematically incorporating variations in dielectric thickness. The results show that the disparity between the electron flux deposited within the dielectric bulk and the flux at dielectric interfaces critically governs the severity of charging under varying irradiation conditions. Two key findings emerge as follows. 1) Discrepancies in electron energy spectra and their influence: the differences in energy spectra between the test electron source and the actual space environment lead to variations in deposited electron flux across different aluminum shielding thicknesses and dielectric depths. This discrepancy influences the equilibrium charging state by changing the current density and conductivity in sub-region-n (the dielectric-ground interface), potentially resulting in either underestimation or overestimation of deep charging effects compared with true space conditions. 2) Effectiveness of different electron sources for simulation: strontium-based sources (e.g. Sr-90 β-decay spectra) effectively replicate the internal charging behavior of Teflon (PTFE) materials on cabin exteriors and inside pressurized compartments under GEO-like electron flux conditions. 0.5 MeV monoenergetic electron beams are suitable for simulating surface dielectric charging on cabin exteriors. However, higher-energy monoenergetic beams exhibit limited applicability at varying dielectric thicknesses. Despite the similar flux intensity used in the tests compared with that in the actual space environment, the differences in energy distribution between the test beams and space electrons can lead to underestimation or overestimation of the charging effects. Based on the simulation results, this work provides recommendations for selecting appropriate test beam parameters under different shielding conditions to improve the accuracy of ground-based evaluations of in-orbit deep dielectric charging.
2025, 74(13): 137202.
doi: 10.7498/aps.74.20250295
Abstract:
Janus transition metal dichalcogenide monolayers, characterized by antisymmetric crystal structures and unique physical properties, show great potential applications in micro/nano-electronic devices and thermoelectrics. In this work, the strain-tuned phonon thermal transport and thermoelectric performance of six Janus transition metal dichalcogenide monolayers are systematically investigated by first-principles calculations. This study focuses on monolayers of PtSSe and PtTeSe with a 1T-phase crystal structure, as well as monolayers of MoSSe, MoTeSe, WSSe, and WTeSe with a 1H-phase crystal structure. For all these monolayers, first-principles calculations are performed using the open-source software Quantum ESPRESSO. The lattice thermal conductivity is obtained based on lattice dynamics and iterative solutions of the Boltzmann transport equation. The thermal conductivities of PtSSe, MoSSe, and WSSe monolayers are generally higher than those of PtTeSe, MoTeSe, and WTeSe. Acoustic phonons are responsible for the majority of thermal transport, contributing over 95%. Under unstrained conditions, monolayer PtSSe demonstrates a superior thermal conductivity of 104 W·m–1·K–1, making it advantageous for thermal management applications in electronic devices. Under tensile strain, the thermal conductivities of PtSSe, MoSSe, and WSSe monolayers exhibit a monotonic decrease trend; however, for PtTeSe, MoTeSe, and WTeSe monolayers, their thermal conductivities initially show an increase trend, followed by a subsequent decrease trend. Under a 10% tensile strain, the thermal conductivities of these six Janus monolayers all demonstrate a reduction exceeding 60%. Furthermore, this work provides a comprehensive analysis of the influences of strain on specific heat capacity, phonon group velocity, and phonon lifetime. The phonon mode-level analysis and cross-calculated thermal conductivity (with specific heat capacity, phonon group velocity, and phonon lifetime replaced by values under different strain conditions) reveal that phonon lifetime is the dominant factor governing thermal conductivity under strain. For electrical transport properties, calculations are performed using the Boltzmann transport equation based on deformation potential theory. At room temperature, the thermoelectric figure of merit (ZT) for PtTeSe is 0.91 without strain, which can be improved to 1.31 under 10% tensile strain. The ZT value reaches as high as 3.96 for p-type PtTeSe and 2.38 for n-type PtTeSe at 700 K, indicating that the PtTeSe monolayer is a highly promising thermoelectric material. Strain-induced enhancement in the thermoelectric performance of PtTeSe is facilitated by reducing lattice thermal conductivity and reconfigurating the band structure. This work demonstrates that strain engineering is an effective strategy for adjusting the thermal transport and thermoelectric properties of Janus transition metal dichalcogenide monolayers.
Janus transition metal dichalcogenide monolayers, characterized by antisymmetric crystal structures and unique physical properties, show great potential applications in micro/nano-electronic devices and thermoelectrics. In this work, the strain-tuned phonon thermal transport and thermoelectric performance of six Janus transition metal dichalcogenide monolayers are systematically investigated by first-principles calculations. This study focuses on monolayers of PtSSe and PtTeSe with a 1T-phase crystal structure, as well as monolayers of MoSSe, MoTeSe, WSSe, and WTeSe with a 1H-phase crystal structure. For all these monolayers, first-principles calculations are performed using the open-source software Quantum ESPRESSO. The lattice thermal conductivity is obtained based on lattice dynamics and iterative solutions of the Boltzmann transport equation. The thermal conductivities of PtSSe, MoSSe, and WSSe monolayers are generally higher than those of PtTeSe, MoTeSe, and WTeSe. Acoustic phonons are responsible for the majority of thermal transport, contributing over 95%. Under unstrained conditions, monolayer PtSSe demonstrates a superior thermal conductivity of 104 W·m–1·K–1, making it advantageous for thermal management applications in electronic devices. Under tensile strain, the thermal conductivities of PtSSe, MoSSe, and WSSe monolayers exhibit a monotonic decrease trend; however, for PtTeSe, MoTeSe, and WTeSe monolayers, their thermal conductivities initially show an increase trend, followed by a subsequent decrease trend. Under a 10% tensile strain, the thermal conductivities of these six Janus monolayers all demonstrate a reduction exceeding 60%. Furthermore, this work provides a comprehensive analysis of the influences of strain on specific heat capacity, phonon group velocity, and phonon lifetime. The phonon mode-level analysis and cross-calculated thermal conductivity (with specific heat capacity, phonon group velocity, and phonon lifetime replaced by values under different strain conditions) reveal that phonon lifetime is the dominant factor governing thermal conductivity under strain. For electrical transport properties, calculations are performed using the Boltzmann transport equation based on deformation potential theory. At room temperature, the thermoelectric figure of merit (ZT) for PtTeSe is 0.91 without strain, which can be improved to 1.31 under 10% tensile strain. The ZT value reaches as high as 3.96 for p-type PtTeSe and 2.38 for n-type PtTeSe at 700 K, indicating that the PtTeSe monolayer is a highly promising thermoelectric material. Strain-induced enhancement in the thermoelectric performance of PtTeSe is facilitated by reducing lattice thermal conductivity and reconfigurating the band structure. This work demonstrates that strain engineering is an effective strategy for adjusting the thermal transport and thermoelectric properties of Janus transition metal dichalcogenide monolayers.
2025, 74(13): 137203.
doi: 10.7498/aps.74.20250186
Abstract:
Spin-orbit torque (SOT) based on the spin-orbit coupling (SOC) effect has received increasing attention in magnetic information storage, logical operation and neuron simulation devices because it can effectively manipulate magnetization switching, chiral magnetic domain walls, and magnetic skyrmion motions. Further improvement of the SOT efficiency and reduction of the driving current density are crucial scientific problems to be solved for high-density and low-power applications of SOT-based spintronic devices. The heavy rare-earth metal dysprosium (Dy) possesses a relatively strong SOC due to the partially filled f orbital electrons (4f10), which is expected to generate spin Hall torques. In this work, the influences of Dy thickness on the SOT efficiency and SOT-driven magnetic reversal are explored in the Dy/Pt/[Co/Pt]3 magnetic multilayers, where the rare-earth Dy and [Co/Pt]3 are used as a spin-source layer and a perpendicularly magnetized ferromagnetic layer, respectively. A series of Dy/Pt/[Co/Pt]3 heterostructures with the values of Dy layer thickness (tDy) of 1, 3, 5 and 7 nm is fabricated by ultrahigh-vacuum magnetron sputtering. The perpendicular magnetic anisotropy, SOT efficiency, spin Hall angle and current-induced magnetization switching are characterized using the magnetic property and electrical transport measurements. The results show that the switching field and magnetic anisotropic field decrease with the increase of tDy, revealing that the magnetic parameters can be regulated by the bottom Dy layer due to their structural sensitivity. However, both damping-like SOT efficiency and effective spin Hall angle (\begin{document}$\theta _{{\text{SH}}}^{{\text{eff}}} $\end{document} ) gradually increase with the increase of tDy, indicating that the rare-earth Dy can provide additional spin current to enhance the SOT efficiency apart from the contribution of Pt/[Co/Pt]3. Particularly, the maximum value of \begin{document}$\theta _{{\text{SH}}}^{{\text{eff}}} $\end{document} of 0.379±0.008 is achieved when tDy is 7 nm. According to the fitting analysis of the drift-diffusion model, the intrinsic spin Hall angle and spin diffusion length of the rare-earth Dy are extracted to be 0.260±0.039 and (2.234±0.383) nm, respectively, suggesting that Dy can be used as an ideal spin-source material. In addition, the critical switching current density (Jc) gradually decreases with the increase of tDy, and Jc reaches a minimum value of approximately 5.3×106 A/cm2 at tDy = 7 nm, which is mainly attributed to the increase of the damping-like SOT and slight decrease of the switching field. These results experimentally demonstrate a strong spin Hall effect of the rare-earth Dy, and provide a feasible route for designing SOT-based spintronic devices with low-power dissipation.
Spin-orbit torque (SOT) based on the spin-orbit coupling (SOC) effect has received increasing attention in magnetic information storage, logical operation and neuron simulation devices because it can effectively manipulate magnetization switching, chiral magnetic domain walls, and magnetic skyrmion motions. Further improvement of the SOT efficiency and reduction of the driving current density are crucial scientific problems to be solved for high-density and low-power applications of SOT-based spintronic devices. The heavy rare-earth metal dysprosium (Dy) possesses a relatively strong SOC due to the partially filled f orbital electrons (4f10), which is expected to generate spin Hall torques. In this work, the influences of Dy thickness on the SOT efficiency and SOT-driven magnetic reversal are explored in the Dy/Pt/[Co/Pt]3 magnetic multilayers, where the rare-earth Dy and [Co/Pt]3 are used as a spin-source layer and a perpendicularly magnetized ferromagnetic layer, respectively. A series of Dy/Pt/[Co/Pt]3 heterostructures with the values of Dy layer thickness (tDy) of 1, 3, 5 and 7 nm is fabricated by ultrahigh-vacuum magnetron sputtering. The perpendicular magnetic anisotropy, SOT efficiency, spin Hall angle and current-induced magnetization switching are characterized using the magnetic property and electrical transport measurements. The results show that the switching field and magnetic anisotropic field decrease with the increase of tDy, revealing that the magnetic parameters can be regulated by the bottom Dy layer due to their structural sensitivity. However, both damping-like SOT efficiency and effective spin Hall angle (
2025, 74(13): 137401.
doi: 10.7498/aps.74.20250180
Abstract:
In the past few decades, achieving room-temperature superconductivity has become an unremitting pursuit of scientists. Guided by the “chemical precompression” theory, hydrogen-rich compounds have emerged as the main candidates for high-temperature superconductors, positioning them at the forefront of superconducting materials research. Extensive computational studies have identified numerous binary hydrides with predicted superconducting transition temperatures (Tc) exceeding 200 K, such as CaH6, H3S, MgH6, YH6, YH9, YH10, and LaH10. Significantly, the high-Tc super-conductivities of H3S, LaH10, CaH6, YH6, YH9 have been experimentally confirmed. Compared with binary hydrides, ternary hydrides offer more diverse chemical compositions and structures, potentially leading to enhanced properties. Zhang et al. [Zhang Z, Cui T, Hutcheon M J, et al.2022 Phys. Rev. Lett. 128 047001 ] theoretically designed a series of AXH8-type (A = Sc, Ca, Y, Sr, La, Ba; X = Be, B, Al) ternary hydrides with “fluorite-type” backbone, which were predicted to have high-Tc values under moderate pressure. Among those ternary hydrides, LaBeH8 has been experimentally confirmed to achieve a Tc value of 110 K at 80 GPa. The Tc values of ternary clathrate hydrides of Li2MgH16 and Li2NaH17 have been predicted to greatly exceed the room temperature, while the required stabilization pressures all exceeded 200 GPa. Xie et al. [Xie H, Duan D F, Shao Z J, et al. 2019 J. Phys. Condens. Matter. 31 245404 ] and Liang et al. [Liang X W, Bergara A, Wang L Y, et al. 2019Phys. Rev. B 99 100505(R) ] independently predicted CaYH12 compounds with \begin{document}$ Pm\bar 3m $\end{document} and \begin{document}$ Fd\bar 3m $\end{document} space groups, both of which exhibited high-Tc above 200 K at about 200 GPa. Other ternary hydrides, such as La-B-H, K-B-H, La-Ce-H, and Y-Ce-H, have also been extensively investigated. At current stage, a major focus of superconducting hydrides is to achieve high-temperature superconductivity at lower pressures. In this study, taking \begin{document}$ Pm\bar 3m $\end{document} (CaYH12) as a representative, we systematically investigate the effects of electron and hole doping on the dynamical stability and superconductivity in ternary hydride by first-principal calculations. The \begin{document}$ Pm\bar 3m $\end{document} (CaYH12) exhibits a Tc value of 218 K at 200 GPa, which is consistent with that reported previously. When decompressing to below 180 GPa, imaginary phonons emerge. The analysis of doping simulations demonstrates that the electron doping exacerbates the softening of the imaginary phonons, whereas hole doping eliminates the imaginary frequencies. At the pressures of 130, 100 and 70 GPa, the \begin{document}$ Pm\bar 3m $\end{document} (CaYH12) phase can be stabilized by hole doping at the concentrations of 0.9, 0.8, and 1.1 e/cell, respectively. Further electron-phonon coupling calculations show that the Tc values of \begin{document}$ Pm\bar 3m $\end{document} (CaYH12) at 130, 100 and 70 GPa are 194, 209, and 194 K at the corresponding doping level, which are only 10–20 K less than the Tc at 200 GPa. At the pressure of 70 GPa, Tc slightly decreases to 189 K at a doping level of 1.2 e/cell, primarily due to the reduced ωlog compared with that in the case of 1.1 e/cell. And the enhanced λ at 1.2 e/cell is mainly contributed by the average electron-phonon coupling matrix element \begin{document}$ \langle {I^2}\rangle $\end{document} and average phonon frequency \begin{document}$ {\langle {\omega ^2}\rangle ^{1/2}} $\end{document} , rather than the electronic density of states at the Fermi level N(εF). These results indicate that hole doping represents a promising and effective strategy for optimizing the superconductivity of \begin{document}$ Pm\bar 3m $\end{document} (CaYH12) by maintaining high-Tc at low pressures. Our study paves an avenue for realizing high-temperature superconductors at low pressure.
In the past few decades, achieving room-temperature superconductivity has become an unremitting pursuit of scientists. Guided by the “chemical precompression” theory, hydrogen-rich compounds have emerged as the main candidates for high-temperature superconductors, positioning them at the forefront of superconducting materials research. Extensive computational studies have identified numerous binary hydrides with predicted superconducting transition temperatures (Tc) exceeding 200 K, such as CaH6, H3S, MgH6, YH6, YH9, YH10, and LaH10. Significantly, the high-Tc super-conductivities of H3S, LaH10, CaH6, YH6, YH9 have been experimentally confirmed. Compared with binary hydrides, ternary hydrides offer more diverse chemical compositions and structures, potentially leading to enhanced properties. Zhang et al. [Zhang Z, Cui T, Hutcheon M J, et al.
2025, 74(13): 137501.
doi: 10.7498/aps.74.20250346
Abstract:
Orbitronic devices have aroused considerable interest due to their unique advantage of being independent of strong spin-orbit coupling. Light metal chromium (Cr) with high orbital Hall conductivity has significant potential for application in orbit-spintronic devices. In this study, we present experimental verification of the inverse orbital Hall effect (IOHE) in Cr thin films and systematically investigate the underlying physical mechanisms of orbital-to-charge current conversion. The Cr/Ni and Pt/Ni heterostructures are fabricated on Al2O3 substrates via magnetron sputtering. Terahertz time-domain spectroscopy is employed to measure the terahertz emission signal. The Cr/Ni heterostructure exhibits the same positive terahertz polarity as the ISHE-dominant Pt/Ni heterostructure, despite the Cr layer owing negative spin Hall angle, which confirms the IOHE of Cr/Ni heterostructure. In the Cr/Ni heterostructures, femtosecond laser excitation generates spin current in the ferromagnetic Ni layer, which is converted into orbital current via its spin-orbit coupling. This orbital current propagates into the Cr layer where it is transformed into charge current through the IOHE. Furthermore, the increase of the Cr thickness (2–40 nm) weakens the terahertz emission of Cr/Ni heterostructures due to enhanced optical absorption of Cr layers reducing spin current generation in Ni layers. However, the optimization of Ni thickness (3–10 nm) significantly enhances the terahertz emission by improving the spin-to-orbital current conversion efficiency. This work provides experimental evidence for IOHE in Cr films and demonstrates the crucial role of ferromagnetic layer engineering in spin-to-orbital current conversion efficiency, providing innovative perspectives for designing and optimizing the performance of orbitronic devices.
Orbitronic devices have aroused considerable interest due to their unique advantage of being independent of strong spin-orbit coupling. Light metal chromium (Cr) with high orbital Hall conductivity has significant potential for application in orbit-spintronic devices. In this study, we present experimental verification of the inverse orbital Hall effect (IOHE) in Cr thin films and systematically investigate the underlying physical mechanisms of orbital-to-charge current conversion. The Cr/Ni and Pt/Ni heterostructures are fabricated on Al2O3 substrates via magnetron sputtering. Terahertz time-domain spectroscopy is employed to measure the terahertz emission signal. The Cr/Ni heterostructure exhibits the same positive terahertz polarity as the ISHE-dominant Pt/Ni heterostructure, despite the Cr layer owing negative spin Hall angle, which confirms the IOHE of Cr/Ni heterostructure. In the Cr/Ni heterostructures, femtosecond laser excitation generates spin current in the ferromagnetic Ni layer, which is converted into orbital current via its spin-orbit coupling. This orbital current propagates into the Cr layer where it is transformed into charge current through the IOHE. Furthermore, the increase of the Cr thickness (2–40 nm) weakens the terahertz emission of Cr/Ni heterostructures due to enhanced optical absorption of Cr layers reducing spin current generation in Ni layers. However, the optimization of Ni thickness (3–10 nm) significantly enhances the terahertz emission by improving the spin-to-orbital current conversion efficiency. This work provides experimental evidence for IOHE in Cr films and demonstrates the crucial role of ferromagnetic layer engineering in spin-to-orbital current conversion efficiency, providing innovative perspectives for designing and optimizing the performance of orbitronic devices.
2025, 74(13): 138101.
doi: 10.7498/aps.74.20250256
Abstract:
Equimolar ratio high-entropy perovskite ceramics (HEPCs) have attracted much attention due to their excellent magnetization intensity. To further enhance their magnetization intensities, (Ln0.2La0.2Nd0.2Sm0.2Eu0.2)MnO3 (Ln = Dy, Ho and Er, labeled as Ln-LNSEMO) HEPCs are designed based on the configuration entropy Sconfig, tolerance factor t, and mismatch degree σ2. Single-phase HEPCs are synthesized by the solid-phase method in this work, in which the effects of the heavy rare-earth elements Dy, Ho and Er on the structure and magnetic properties of Ln-LNSEMO are systematically studied. The results show that all Ln-LNSEMO HEPCs exhibit high crystallinity and maintain excellent structural stability after sintering at 1250 ℃ for 16 h. Ln-LNSEMO HEPCs exhibit significant lattice distortion effects, with smooth surface morphology, clearly distinguishable grain boundaries, and irregular polygonal shapes. In the present work, the influences of A-site average ion radius, grain size and lattice distortion on the magnetic interactions of Ln-LNSEMO HEPCs are investigated. The three high-entropy ceramic samples exhibit hysteresis behavior at T = 5 K, with the Curie temperature TC decreasing as the radius of the introduced rare-earth ions decreases, while the saturation magnetization and coercivity increase accordingly. When the average ionic radius of A-site decreases, the interaction between their valence electrons and local electrons in the crystal increases, thereby enhancing the conversion of electrons to oriented magnetic moments under an external magnetic field. Thus, Er-LNSEMO HEPC shows a higher saturation magnetization strength (42.8 emu/g) and coercivity (2.09 kOe) than the other samples, which is attributed to the strong magnetic crystal anisotropy, larger lattice distortion σ2 (6.52×10–3), smaller average grain size (440.49 ± 22.02 nm), unit cell volume (229.432 Å3) and A-site average ion radius (1.24 Å) of its magnet. The Er-LNSEMO HEPC has potential applications in magnetic recording materials.
Equimolar ratio high-entropy perovskite ceramics (HEPCs) have attracted much attention due to their excellent magnetization intensity. To further enhance their magnetization intensities, (Ln0.2La0.2Nd0.2Sm0.2Eu0.2)MnO3 (Ln = Dy, Ho and Er, labeled as Ln-LNSEMO) HEPCs are designed based on the configuration entropy Sconfig, tolerance factor t, and mismatch degree σ2. Single-phase HEPCs are synthesized by the solid-phase method in this work, in which the effects of the heavy rare-earth elements Dy, Ho and Er on the structure and magnetic properties of Ln-LNSEMO are systematically studied. The results show that all Ln-LNSEMO HEPCs exhibit high crystallinity and maintain excellent structural stability after sintering at 1250 ℃ for 16 h. Ln-LNSEMO HEPCs exhibit significant lattice distortion effects, with smooth surface morphology, clearly distinguishable grain boundaries, and irregular polygonal shapes. In the present work, the influences of A-site average ion radius, grain size and lattice distortion on the magnetic interactions of Ln-LNSEMO HEPCs are investigated. The three high-entropy ceramic samples exhibit hysteresis behavior at T = 5 K, with the Curie temperature TC decreasing as the radius of the introduced rare-earth ions decreases, while the saturation magnetization and coercivity increase accordingly. When the average ionic radius of A-site decreases, the interaction between their valence electrons and local electrons in the crystal increases, thereby enhancing the conversion of electrons to oriented magnetic moments under an external magnetic field. Thus, Er-LNSEMO HEPC shows a higher saturation magnetization strength (42.8 emu/g) and coercivity (2.09 kOe) than the other samples, which is attributed to the strong magnetic crystal anisotropy, larger lattice distortion σ2 (6.52×10–3), smaller average grain size (440.49 ± 22.02 nm), unit cell volume (229.432 Å3) and A-site average ion radius (1.24 Å) of its magnet. The Er-LNSEMO HEPC has potential applications in magnetic recording materials.
2025, 74(13): 138701.
doi: 10.7498/aps.74.20241762
Abstract:
In this paper, we propose a vanadium dioxide and germanium telluride composite metasurface. The conductivity of vanadium dioxide and germanium telluride is varied by changing the temperature, which enables the switching of functions such as ultra-broadband absorption, reflective-type polarization, and transmissive-type polarization. When vanadium dioxide is metallic and germanium telluride is crystalline, the terahertz wave is incident along the –z direction, and the metasurface can be used as a broadband absorber, with an absorption rate greater than 90% in a frequency range of 7.96–17.76 THz, and the absorption bandwidth reaches 9.8 THz, with a relative bandwidth of 76.2%. In addition, the designed metasurface absorber is polarization-insensitive and exhibits good absorption performance at large incidence angles. Terahertz waves are incident along the +z direction, and this metasurface can be used as a reflective polarization converter with a polarization conversion ratio greater than 0.9 for x– and y–polarized waves in the frequency band from 2.04 to 4.44 THz. The effects of incidence angle and structural parameters on polarization conversion performance are also investigated. When vanadium dioxide is in the dielectric state and germanium telluride is in the amorphous state, the metasurface can be used as a transmissive polarization converter, with a polarization conversion rate of greater than 0.9 in a frequency band of 0.65–5.07 THz. And the high polarization conversion performance can be maintained in a wide range of incidence angles. Finally, the physical mechanism of polarization conversion is analyzed using surface currents. The results show that the metasurface structure has bi-directional, switchable and multi-functional characteristics for terahertz wave manipulation, and has broad application prospects in terahertz wave sensing, imaging and communication.
In this paper, we propose a vanadium dioxide and germanium telluride composite metasurface. The conductivity of vanadium dioxide and germanium telluride is varied by changing the temperature, which enables the switching of functions such as ultra-broadband absorption, reflective-type polarization, and transmissive-type polarization. When vanadium dioxide is metallic and germanium telluride is crystalline, the terahertz wave is incident along the –z direction, and the metasurface can be used as a broadband absorber, with an absorption rate greater than 90% in a frequency range of 7.96–17.76 THz, and the absorption bandwidth reaches 9.8 THz, with a relative bandwidth of 76.2%. In addition, the designed metasurface absorber is polarization-insensitive and exhibits good absorption performance at large incidence angles. Terahertz waves are incident along the +z direction, and this metasurface can be used as a reflective polarization converter with a polarization conversion ratio greater than 0.9 for x– and y–polarized waves in the frequency band from 2.04 to 4.44 THz. The effects of incidence angle and structural parameters on polarization conversion performance are also investigated. When vanadium dioxide is in the dielectric state and germanium telluride is in the amorphous state, the metasurface can be used as a transmissive polarization converter, with a polarization conversion rate of greater than 0.9 in a frequency band of 0.65–5.07 THz. And the high polarization conversion performance can be maintained in a wide range of incidence angles. Finally, the physical mechanism of polarization conversion is analyzed using surface currents. The results show that the metasurface structure has bi-directional, switchable and multi-functional characteristics for terahertz wave manipulation, and has broad application prospects in terahertz wave sensing, imaging and communication.
2025, 74(13): 138702.
doi: 10.7498/aps.74.20250471
Abstract:
Channel proteins act as precise molecular regulators of transmembrane transport, which is a fundamental process essential for maintaining cellular homeostasis. These proteins dynamically modulate their functional states through conformational changes, thereby forming the structural basis for complex physiological processes such as signal transduction and energy metabolism. Single-molecule fluorescence spectroscopy and single-channel patch-clamp electrophysiology represent two cornerstone techniques in modern biophysics: the former enables molecular-resolution analysis of structural dynamics, while the latter provides direct functional characterization of ion channel activity. Despite their complementary capabilities, integrating these techniques to simultaneously monitor protein conformational dynamics and functional states remains technically challenging, primarily due to the strong autofluorescence background inherent in single-molecule imaging in cellular environments. To address this limitation, we develop a spatially selective optical excitation system capable of localized illumination. By integrating tunable optical modules, we generate a dynamically adjustable excitation field on living cell membranes, achieving precise spatial registration between the excitation volume and the patch-clamp recording site. This system achieves submicron-scale alignment between the excitation zone and the micropipette contact area, enabling simultaneous electrophysiological recording and background-suppressed fluorescence detection within the clamped membrane domain. Experimental validation demonstrates that the systemcan perform single-molecule fluorescence imaging and trajectory analysis within a specified observation areas, with imaging resolution inversely related to the size of the illuminated region. Optimized optical design allows for precise excitation targeting while minimizing background illumination, thereby achieving high signal-to-noise ratio single-molecule imaging and significantly reducing photodamage. Integration with cell-attached patch-clamp configurations establishes a dual-modality platform for synchronized acquisition of single-molecule fluorescence images and single-channel recordings. The validation using mechanosensitive mPiezo1 channels confirms the system’s compatibility with single-channel recording, indicating that optical imaging induces no detectable interference to electrophysiological signal acquisition. This method overcomes longstanding challenges in the simultaneous application of single-molecule imaging and electrophysiological techniques in live-cell environments. It establishes a novel experimental framework for investigating the structure-function relationships of channel proteins and membrane-related molecular machines through spatially coordinated optoelectronic measurements on live-cell membranes, which has broad applicability in molecular biophysics and transmembrane transport mechanism research.
Channel proteins act as precise molecular regulators of transmembrane transport, which is a fundamental process essential for maintaining cellular homeostasis. These proteins dynamically modulate their functional states through conformational changes, thereby forming the structural basis for complex physiological processes such as signal transduction and energy metabolism. Single-molecule fluorescence spectroscopy and single-channel patch-clamp electrophysiology represent two cornerstone techniques in modern biophysics: the former enables molecular-resolution analysis of structural dynamics, while the latter provides direct functional characterization of ion channel activity. Despite their complementary capabilities, integrating these techniques to simultaneously monitor protein conformational dynamics and functional states remains technically challenging, primarily due to the strong autofluorescence background inherent in single-molecule imaging in cellular environments. To address this limitation, we develop a spatially selective optical excitation system capable of localized illumination. By integrating tunable optical modules, we generate a dynamically adjustable excitation field on living cell membranes, achieving precise spatial registration between the excitation volume and the patch-clamp recording site. This system achieves submicron-scale alignment between the excitation zone and the micropipette contact area, enabling simultaneous electrophysiological recording and background-suppressed fluorescence detection within the clamped membrane domain. Experimental validation demonstrates that the systemcan perform single-molecule fluorescence imaging and trajectory analysis within a specified observation areas, with imaging resolution inversely related to the size of the illuminated region. Optimized optical design allows for precise excitation targeting while minimizing background illumination, thereby achieving high signal-to-noise ratio single-molecule imaging and significantly reducing photodamage. Integration with cell-attached patch-clamp configurations establishes a dual-modality platform for synchronized acquisition of single-molecule fluorescence images and single-channel recordings. The validation using mechanosensitive mPiezo1 channels confirms the system’s compatibility with single-channel recording, indicating that optical imaging induces no detectable interference to electrophysiological signal acquisition. This method overcomes longstanding challenges in the simultaneous application of single-molecule imaging and electrophysiological techniques in live-cell environments. It establishes a novel experimental framework for investigating the structure-function relationships of channel proteins and membrane-related molecular machines through spatially coordinated optoelectronic measurements on live-cell membranes, which has broad applicability in molecular biophysics and transmembrane transport mechanism research.








