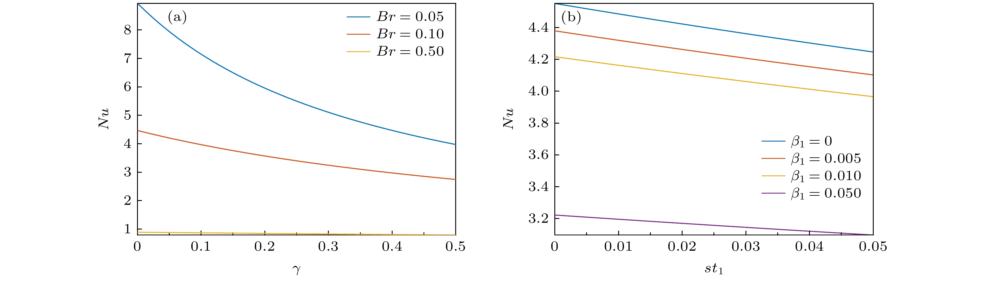
Peristalsis is an important dynamic phenomenon in the field of biomedical research, and has great application prospects in microscale fluids. In recent years, this biomimetic (peristaltic) phenomenon has gained widespread attention due to its large-scale applications in various medical and industrial fields, such as radiation therapy, peristaltic blood pumps, and drug delivery systems. In this study, the electroosmotic flow and heat transfer characteristics are investigated under high wall Zeta potential and slip boundary conditions for a certain type of biological fluid that satisfies the Newtonian fluid model. Fluid flows under the joint action of external electric field, magnetic field, and Joule heating. Firstly, without using the Debye-Hückel linear approximation, the numerical solutions are given by using the Chebyshev spectral method for the nonlinear Poisson-Boltzmann equation, the fourth-order differential equation satisfied by the stream function, and the thermal energy equation. The results are compared with those obtained by using the Debye-Hückel linear approximation to demonstrate the effectiveness of the numerical method used in this study. Secondly, the effects of wall Zeta potential, Hartmann number
$H$
, electroosmotic parameter
$m$
, slip parameter
$\beta $
are discussed on the flow characteristics, peristaltic pumping, and trapping phenomena under electromagnetic environments, and the influence of Joule heating parameter
$\gamma $
and Brinkman number
$Br$
is explored on heat transfer characteristics. The results show that 1) wall Zeta potential plays an important role in controlling the velocity of fluid peristaltic flow; 2) the increase of electroosmotic parameter
$m$
and slip parameter
$\beta $
increases the flow velocity in the central region of the channel, while the increase of Hartmann number
$H$
hinders the flow of fluid; 3) these flow behaviors exhibit opposite trends near the channel walls; 4) the number of streamlines captured by peristaltic transport decreases with Hartmann number
$H$
and electroosmotic parameter
$m$
increasing; 5) the increase of Joule heating parameter
$\gamma $
and Brinkman number
$Br$
leads temperature to rise.