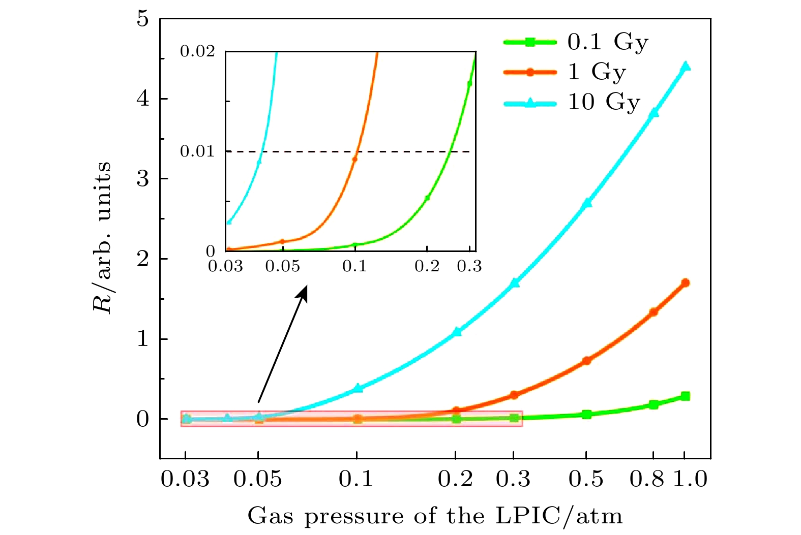
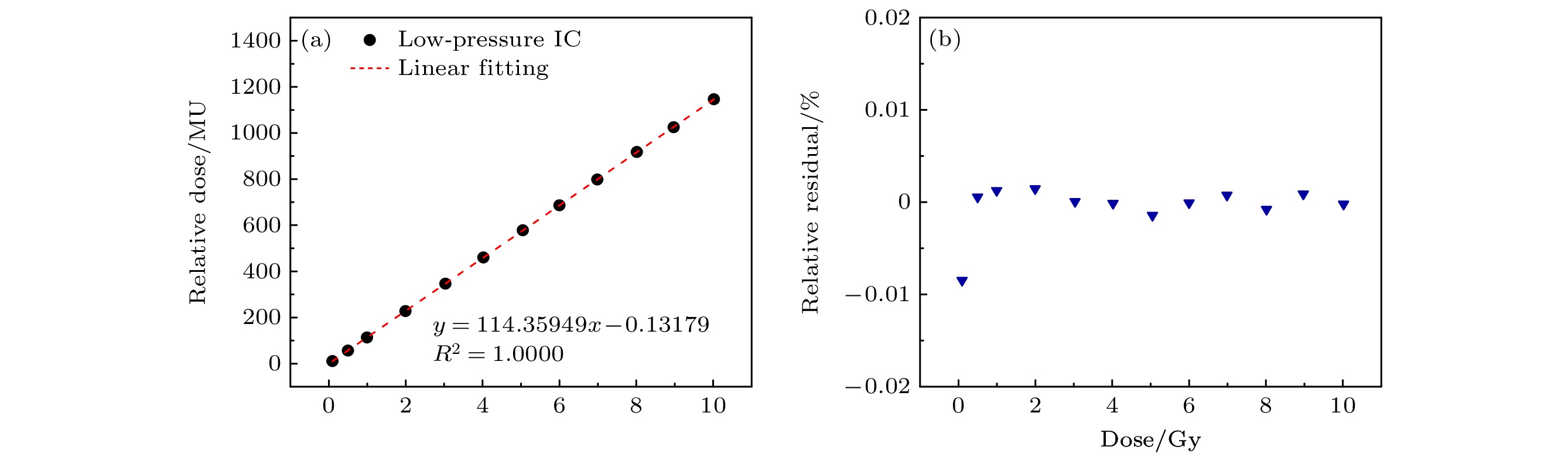
This study solves the key challenge of real-time beam monitoring in ultra-high dose rate X-ray FLASH (XFLASH) radiotherapy, in which the traditional ionization chambers suffer serious electron-ion recombination losses at extreme dose rates (≥40 Gy/s). We propose a low-pressure ionization chamber (LPIC) as a novel beam monitor to achieve accurate dose measurement while maintaining beam penetration characteristics required for clinical applications. The LPIC is designed to have two independent chambers to accommodate high-voltage, collecting, and protecting electrodes. Key parameters include a 1-mm electrode gap and a reduced chamber pressure (~5 kPa) to mitigate recombination effects. Theoretical analysis based on the Boag model and numerical simulations (using the numerical-ks-calculator program) quantifies the dependence of recombination loss on pressure (P), electrode spacing (d ), and voltage (Uc). MCNP simulations evaluate X-ray transmission through chamber windows (Be, Al, Ti) with thickness up to 1000 μm. According to the national standards (GB/T15213-2016), a prototype LPIC is constructed and tested on a 10-MeV XFLASH accelerator (dose rate: 80 Gy/s) for plateau characteristics, dose repeatability, linearity, and dose-rate response. Theoretical analysis based on the Boag model reveals that the values of recombination ratio R scale with $P^3$, $d^2$, and $U_{\rm c}^{-1} $, which are validated by numerical simulations $(R = 0.2256P^3;\; R = 0.0534U_{\rm c}^{-1};\; R = 0.00548d^2) $. At 1.1 Gy/pulse, recombination losses are maintained below 1% at the optimal parameters: P < 0.3 atm for d = 0.1 mm or P < 0.04 atm for d = 1 mm. MCNP simulations show that X-ray transmission exceeds 90% for beryllium (Be), aluminum (Al), and titanium (Ti) windows with thickness ≤1000 μm. While 0.1-mm Be achieves the highest transmission (>99%), 1-mm Al (transmission ~95%) is selected as the optimal window material due to its clinical acceptability (<5% dose loss), cost-effectiveness, and easy fabrication. The prototype exhibits stable plateau characteristics (ΔI/I < 0.069% at Uc > 40V), exceptional dose repeatability (coefficient of variation <0.5% across 10–250 Gy/s), and linearity (R2 > 0.999 for dose and dose-rate measurements). These results confirm their compliance with the national standard (GB/T15213-2016) and are suitable for real-time XFLASH monitoring. The LPIC demonstrates robust suppression of recombination losses and reliable performance under XFLASH conditions. Its design, which is optimized via theoretical modeling and simulations, ensures high precision, which meets GB/T15213-2016 requirements, while preserving beam penetration. The use of 1-mm Al windows balances cost and function, making the LPIC a reliable clinical dose monitor. Future studies will focus on multi-channel LPIC arrays for two-dimensional beam profiling.